Open Access

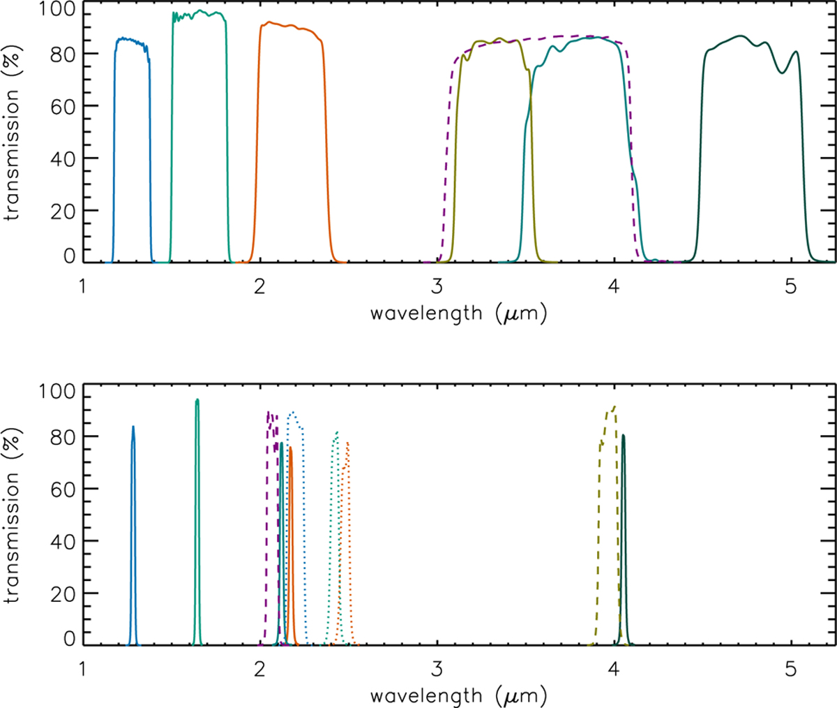
Fig. 13

image

Download original image

Filter profiles in NIX. Top: broad-band filters. The dashed profile corresponds to the broad L band spectroscopic filter. Bottom: narrow-band filters. The narrow solid profiles target specific emission lines. Corresponding continuum filters are shown as dashed lines. The other intermediate-band filters are shown as dotted lines.

Current usage metrics show cumulative count of Article Views (full-text article views including HTML views, PDF and ePub downloads, according to the available data) and Abstracts Views on Vision4Press platform.

Data correspond to usage on the plateform after 2015. The current usage metrics is available 48-96 hours after online publication and is updated daily on week days.

Initial download of the metrics may take a while.