Open Access
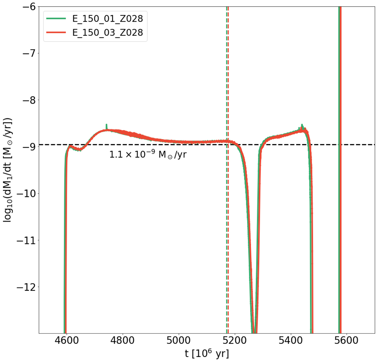
Fig. 7.

Download original image
Donor star mass loss rate for each of the best models with the metallicity change: E_150_01_Z028 and E_150_03_Z028. The elements represented are the same as in Fig. 2.
Current usage metrics show cumulative count of Article Views (full-text article views including HTML views, PDF and ePub downloads, according to the available data) and Abstracts Views on Vision4Press platform.
Data correspond to usage on the plateform after 2015. The current usage metrics is available 48-96 hours after online publication and is updated daily on week days.
Initial download of the metrics may take a while.