Fig. 1.

Download original image
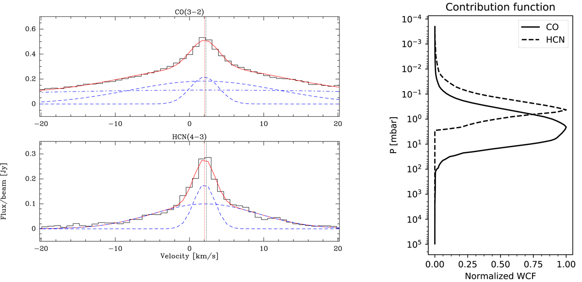
Example of measured spectra (left column) of CO(3-2) and HCN(4-3) lines (black) at the position of the sky western equatorial limb, at an offset from Neptune centre (−1.1″, 0.0″). Individual Gaussian fit components with FWHMs of about 4, 20, 80 km s−1 are shown in dashed blue and their sum in red. Also shown: the beam-convolved solid body velocity (black dotted line) and the fit velocity (red dotted line). The difference of these two velocities allows us to derive the Doppler winds. Right: normalized wind contribution functions (WCF) at the limb for each molecule.
Current usage metrics show cumulative count of Article Views (full-text article views including HTML views, PDF and ePub downloads, according to the available data) and Abstracts Views on Vision4Press platform.
Data correspond to usage on the plateform after 2015. The current usage metrics is available 48-96 hours after online publication and is updated daily on week days.
Initial download of the metrics may take a while.