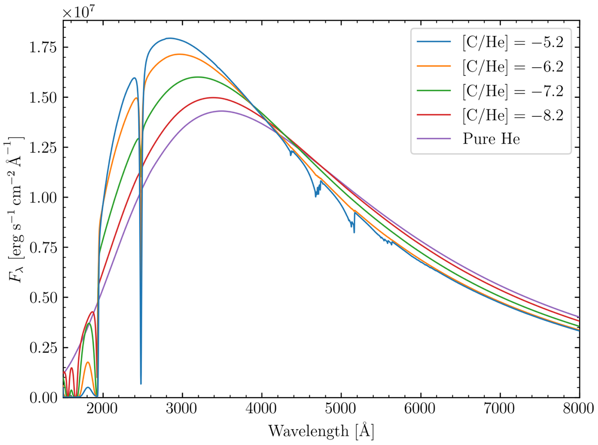
Fig. 2.

Download original image
Synthetic spectra for atmosphere models with log g = 8.0 and Teff = 8000 K. The pure He model is shown with a purple line. The other models assume [C/He] = −5.2 (blue line, the C sequence), [C/He] = −6.2 (orange line, the C sequence −1 dex), [C/He] = −7.2 (green line, the C sequence −2 dex), and [C/He] = −8.2 (red line, the C sequence −3 dex).
Current usage metrics show cumulative count of Article Views (full-text article views including HTML views, PDF and ePub downloads, according to the available data) and Abstracts Views on Vision4Press platform.
Data correspond to usage on the plateform after 2015. The current usage metrics is available 48-96 hours after online publication and is updated daily on week days.
Initial download of the metrics may take a while.