Fig. 4.

Download original image
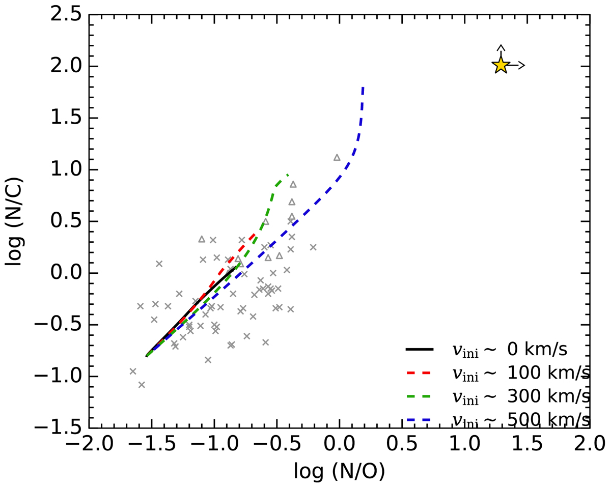
N/C vs. N/O abundances of the stripped star (yellow star) compared to SMC B stars (triangles for giants and crosses for main sequence) from Hunter et al. (2009). The dashed lines are tracks from Brott et al. (2011) for the SMC with different initial rotations for Mini = 12. The location of the stripped star at the top right corner demonstrates that its surface CNO pattern is too extreme to be explained by standard stellar evolution.
Current usage metrics show cumulative count of Article Views (full-text article views including HTML views, PDF and ePub downloads, according to the available data) and Abstracts Views on Vision4Press platform.
Data correspond to usage on the plateform after 2015. The current usage metrics is available 48-96 hours after online publication and is updated daily on week days.
Initial download of the metrics may take a while.