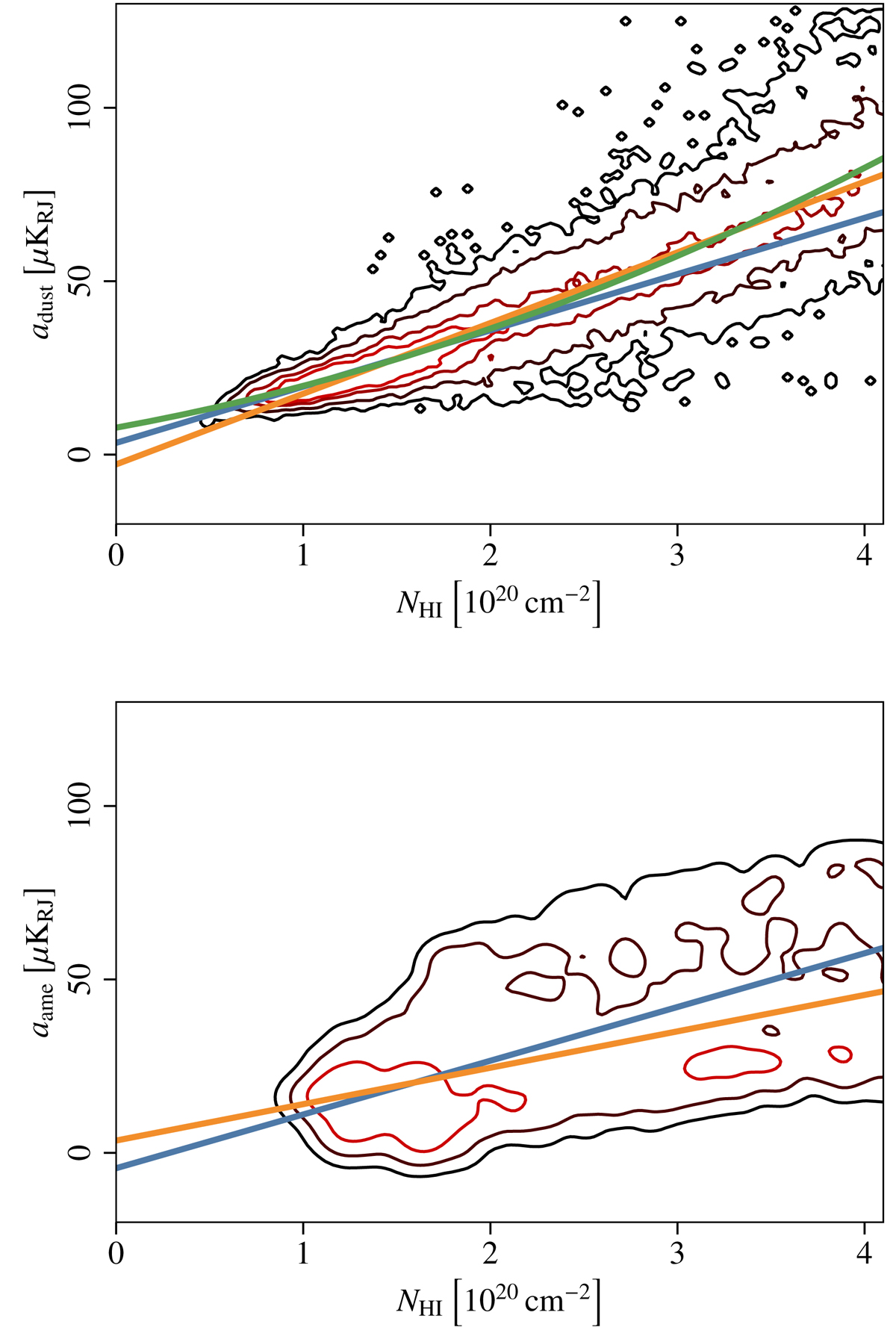
Fig. 4.

image

Download original image

Cross-correlations between the H I column density NH I and (top) the thermal dust amplitude and (bottom) the AME amplitude. The thermal dust cross-correlation is evaluated at HEALPix resolution Nside = 64 and a common angular resolution of 60′ FWHM, while the AME cross-correlation is evaluated at HEALPix resolution Nside = 16 and a common angular resolution of 10° FWHM. The lines represent best-fit lines for pixels with H I column densities less than 2 × 1020 cm−2 (blue) or 4 × 1020 cm−2 (orange). The green curve is the best-fit second degree polynomial to pixels with H I column densities less than 4 × 1020 cm−2. The contour lines are plotted at 0.001, 0.01, 0.05, and 0.1 ; where only the lower three contour line values are plotted for AME. The contours have been smoothed for visualization.

Current usage metrics show cumulative count of Article Views (full-text article views including HTML views, PDF and ePub downloads, according to the available data) and Abstracts Views on Vision4Press platform.

Data correspond to usage on the plateform after 2015. The current usage metrics is available 48-96 hours after online publication and is updated daily on week days.

Initial download of the metrics may take a while.