Open Access

Fig. A.2

image

Download original image

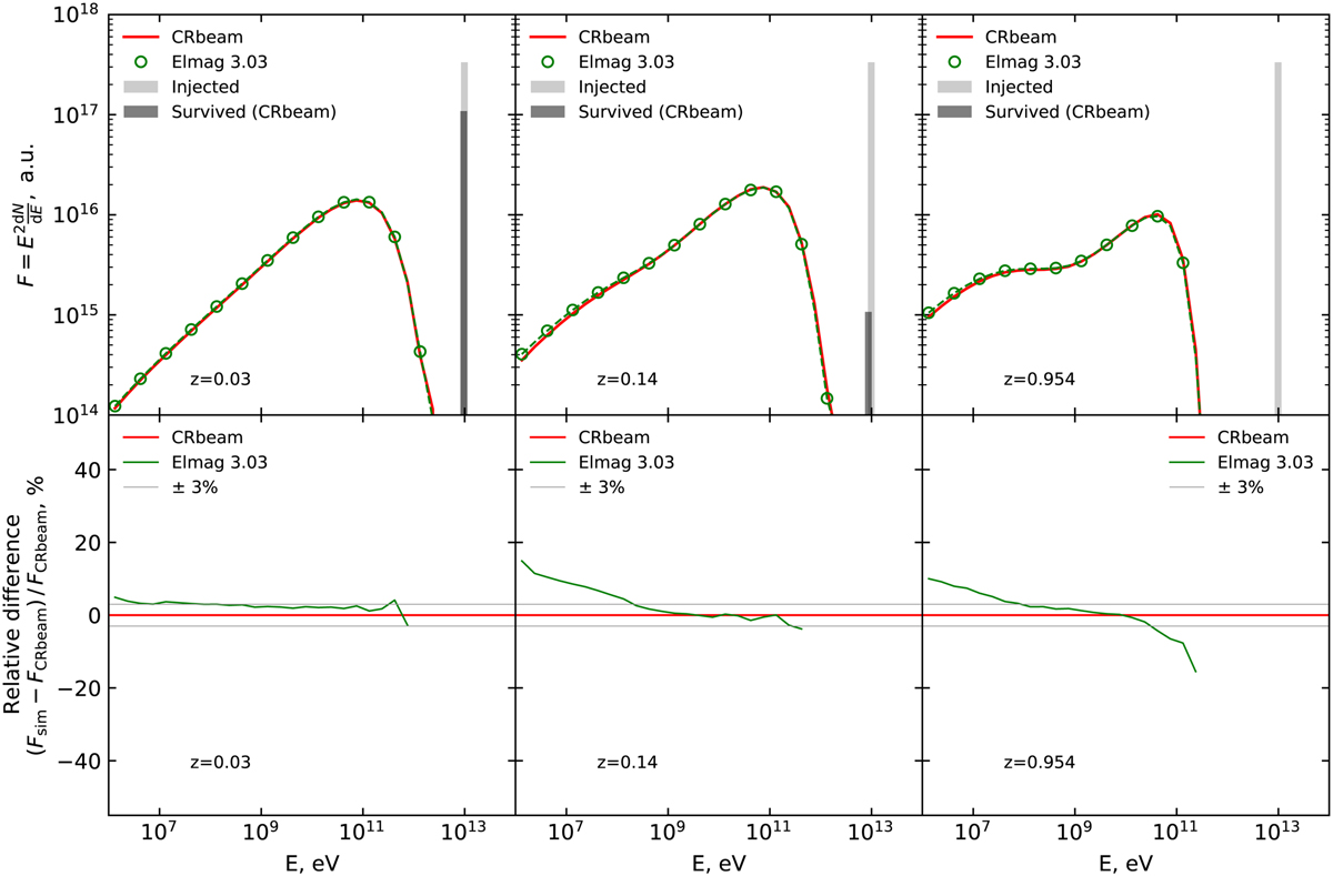
Model spectra of secondary γ-rays produced by interaction of monoenergetic primary γ-rays with energy Eγo = 10 TeV. Same as Fig. 2, but calculated with CRbeam and ELMAG 3.03. After corrections to the implementation of the EBL model of Franceschini et al. (2008) in ELMAG 3.03, CRbeam, and ELMAG show much better agreement.

Current usage metrics show cumulative count of Article Views (full-text article views including HTML views, PDF and ePub downloads, according to the available data) and Abstracts Views on Vision4Press platform.

Data correspond to usage on the plateform after 2015. The current usage metrics is available 48-96 hours after online publication and is updated daily on week days.

Initial download of the metrics may take a while.