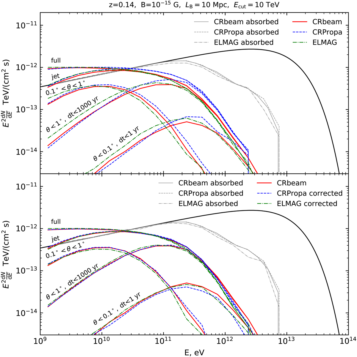
Fig. 8

Download original image
Cascade contributions for the source at the redshift z = 0.14 and for a turbulent IGMF with Kolmogorov spectrum with a strength of B = 10−15 G and maximum scale of LB = 10 Mpc (corresponding correlation length λB ≈ 2 Mpc). The jet opening angle was assumed to be θjet = 5°, and the observer was at an angle θobs = 3° with respect to the jet axis. Red solid lines is for CRbeam code, blue dashed lines is for CRPropa code and green dash-dotted lines: the ELMAG code. Line labels indicate the constraints on the source activity time dt and angular distance from the source Ѳ that were used when constructing the cascade signal. The label “jet” denotes the cascade signal without constraints on dt (dt = ∞) and θ (θ = 2π). For comparison, we also added a cascade spectrum in the absence of a magnetic field (label “full”).
Current usage metrics show cumulative count of Article Views (full-text article views including HTML views, PDF and ePub downloads, according to the available data) and Abstracts Views on Vision4Press platform.
Data correspond to usage on the plateform after 2015. The current usage metrics is available 48-96 hours after online publication and is updated daily on week days.
Initial download of the metrics may take a while.