Open Access

Fig. 1

image

Download original image

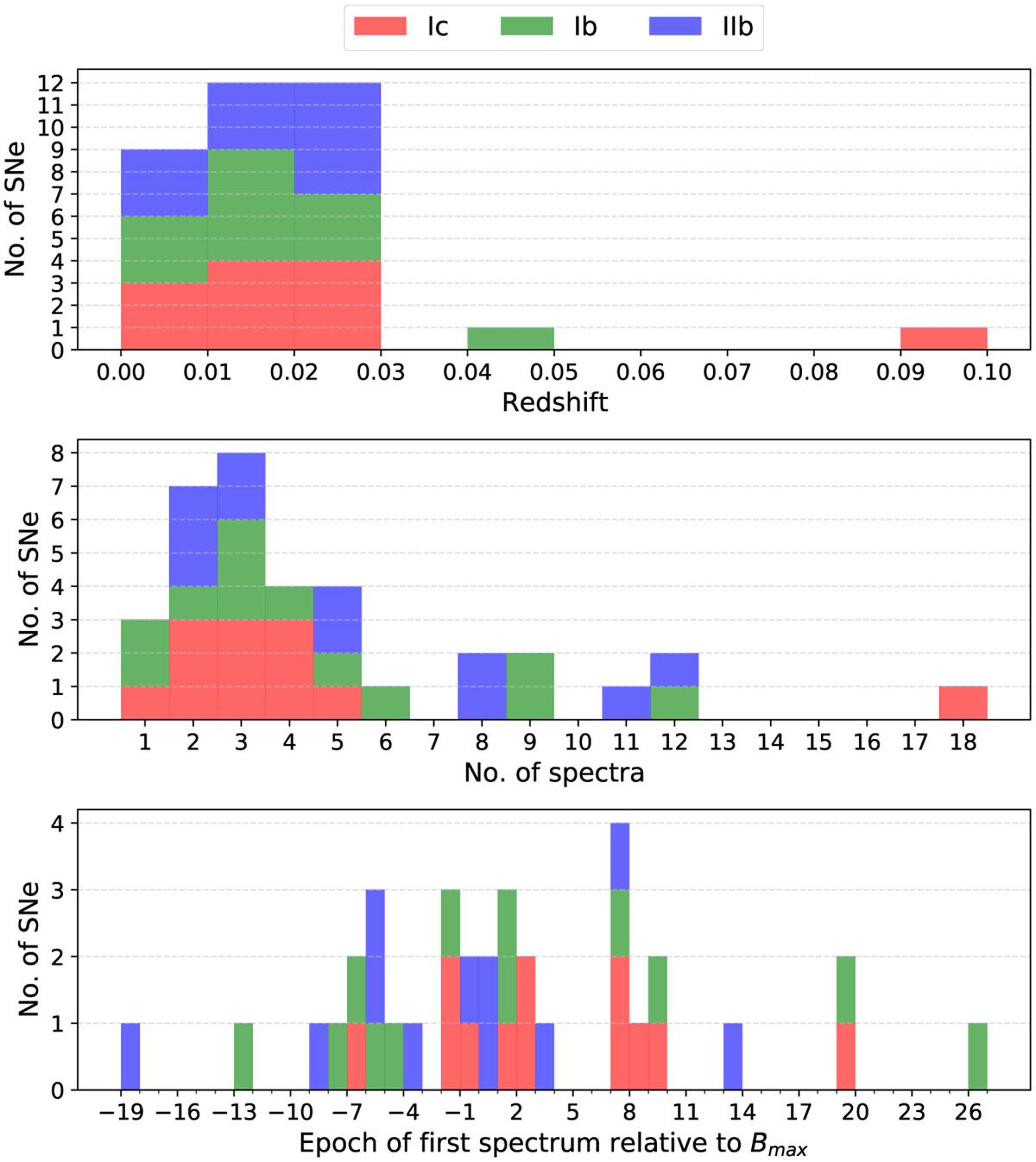
Breakdown of the sample. Top panel: distribution of redshift (z) for the sample, as obtained from host-galaxy redshift measurements provided by the NASA/IPAC Extragalactic Database (NED). Middle panel: distribution of the number of spectra per SN for the sample. Bottom panel: temporal phase distribution of the first epoch of observation for the CSP-I SE SN spectroscopy sample.

Current usage metrics show cumulative count of Article Views (full-text article views including HTML views, PDF and ePub downloads, according to the available data) and Abstracts Views on Vision4Press platform.

Data correspond to usage on the plateform after 2015. The current usage metrics is available 48-96 hours after online publication and is updated daily on week days.

Initial download of the metrics may take a while.