Open Access

Fig. 4.

image

Download original image

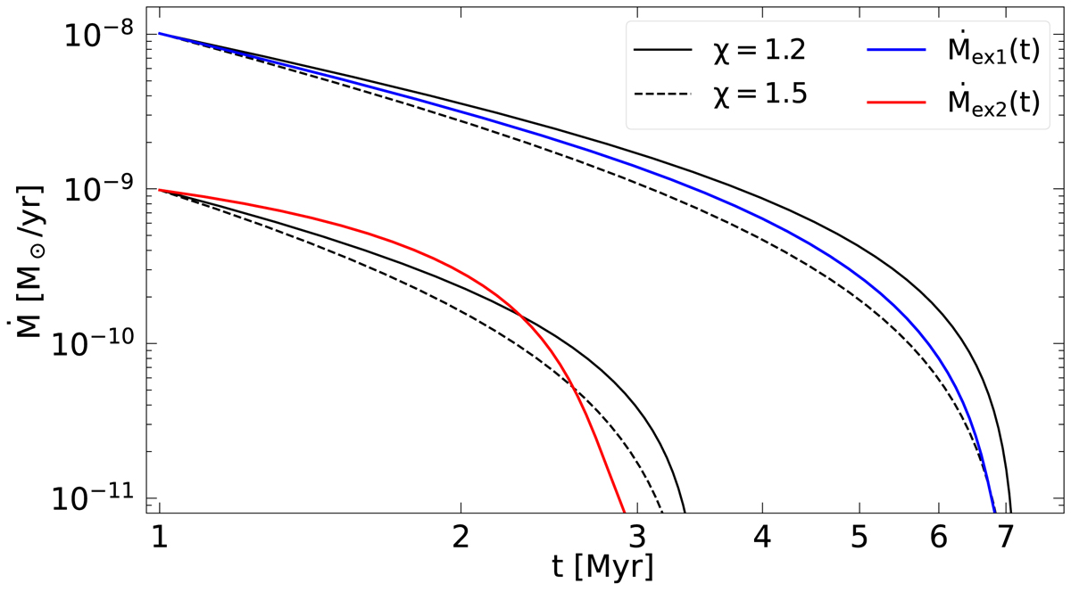
Model disk accretion rates vs. time for two cases: The ex(1)(t) (blue line) and ex(2)(t) (red line) cases are simulations of stars with M = 0.3 (0.1) M and a disk with a viscosity parameter α = 0.005 (0.010), respectively. The stellar magnetic field strength is the same (B = 1.0 kG) in both cases. We compare these to empirical relations based on the power-law relation tχ of Gallet et al. (2019) with disk lifetimes of 3.5 and 7.2 Myr and exponents χ = 1.2 (solid black line) and χ = 1.5 (dashed black line) (Vasconcelos & Bouvier 2017; Gallet et al. 2019).

Current usage metrics show cumulative count of Article Views (full-text article views including HTML views, PDF and ePub downloads, according to the available data) and Abstracts Views on Vision4Press platform.

Data correspond to usage on the plateform after 2015. The current usage metrics is available 48-96 hours after online publication and is updated daily on week days.

Initial download of the metrics may take a while.