Open Access

Fig. 8.

image

Download original image

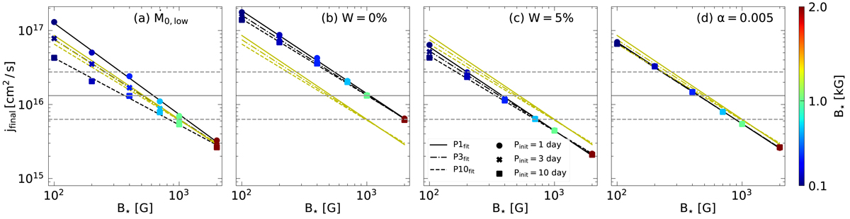
The SAM after the disk phase jfinal as a function of stellar magnetic field values (x-axis and colors) and for different initial rotation periods (different sets of point styles and curves). Each panel shows the variation of one parameter with respect to the reference case in Fig. 7. In panel a, low is used as the initial accretion rate. In panels b and c, the APSW efficiency is set to 0% and 5%, respectively. In panel d, the viscous α parameter is set to 0.005. In all cases, the stellar mass is 0.3 M. The symbols and lines are identical to Fig. 7. For comparison, the yellow lines show the fits from Fig. 7 for a stellar mass of 0.3 M.

Current usage metrics show cumulative count of Article Views (full-text article views including HTML views, PDF and ePub downloads, according to the available data) and Abstracts Views on Vision4Press platform.

Data correspond to usage on the plateform after 2015. The current usage metrics is available 48-96 hours after online publication and is updated daily on week days.

Initial download of the metrics may take a while.