Fig. 4

Download original image
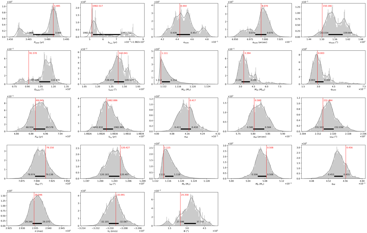
Marginal posterior distributions of the physical and orbital parameters of HD 196885 Ab including the period, periastron passage, eccentricity, the semi-major axis… (two first rows). On the two last rows are reported the marginal posterior distributions for HD 196885 B. The maximum a posteriori (the most probable sample of the posterior distribution) are reported in red.
Current usage metrics show cumulative count of Article Views (full-text article views including HTML views, PDF and ePub downloads, according to the available data) and Abstracts Views on Vision4Press platform.
Data correspond to usage on the plateform after 2015. The current usage metrics is available 48-96 hours after online publication and is updated daily on week days.
Initial download of the metrics may take a while.