Fig. 9

Download original image
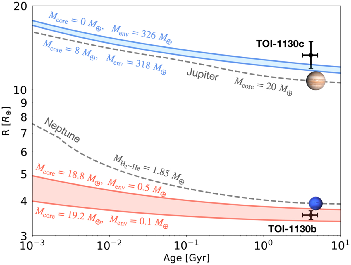
Evolution models of TOI-1130 b and TOI-1130 c, compared to Neptune and Jupiter, respectively. All models assume a central ice-rock core overlain by a solar composition hydrogen-helium envelope. The Mcore value corresponds to the mass of the core while Menv corresponds to the mass of the envelope. The range of envelope mass compatible with the observational constraints is shown for TOI-1130 b and compared to a similarly simple model of Neptune. For TOI-1130 c, only an upper limit on the core mass can be derived. For all cases, additional uncertainties on the core and envelope masses arise due to the unknown interior composition, temperature structure, and equation of state uncertainties. The black error bars correspond to observational constraints on the age and the radius of TOI-1130 b and TOI-1130 c.
Current usage metrics show cumulative count of Article Views (full-text article views including HTML views, PDF and ePub downloads, according to the available data) and Abstracts Views on Vision4Press platform.
Data correspond to usage on the plateform after 2015. The current usage metrics is available 48-96 hours after online publication and is updated daily on week days.
Initial download of the metrics may take a while.