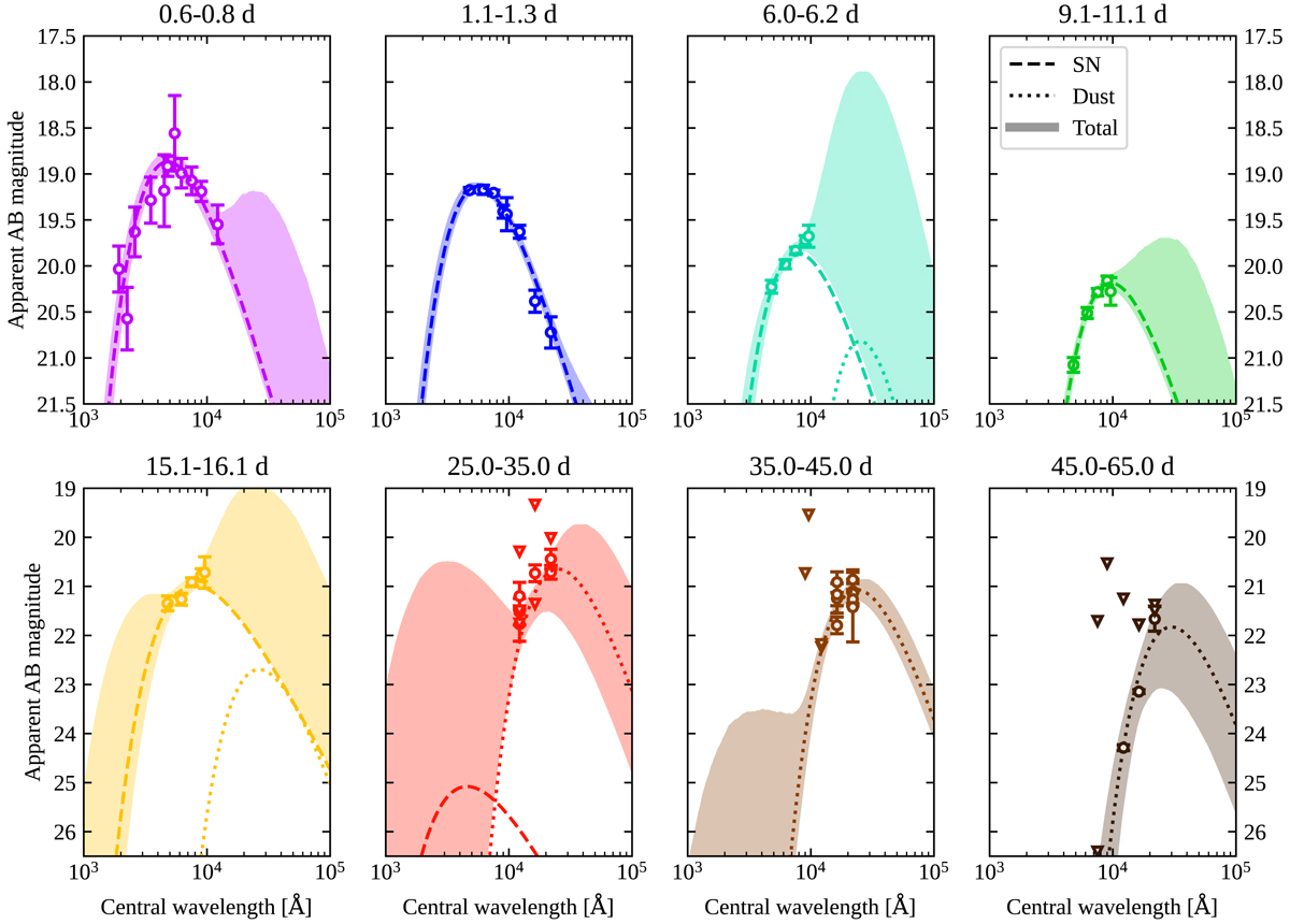
Fig. D.1.

Download original image
Spectral energy distributions fitted with a blackbody + dust model. Each panel shows a SED of SN2019wxt constructed by considering photometric measurements within a time window (annotated above each panel, in days post i-band maximum). The formally best-fitting blackbody (‘SN’) and modified blackbody (‘Dust’) components are shown by dashed and dotted lines respectively, while the filled regions span the 5th to the 95th percentile of the model (SN+Dust) magnitudes corresponding to the posterior samples at each wavelength. The fits are performed adopting log-uniform priors on the SN luminosity in the 1035 − 1043 erg/s range and on the dust mass in the 10−6 − 10−3 M⊙ range, and uniform priors on the SN temperature in the 4000 − 20000 K range and on the dust temperature in the 100 − 2500 K range.
Current usage metrics show cumulative count of Article Views (full-text article views including HTML views, PDF and ePub downloads, according to the available data) and Abstracts Views on Vision4Press platform.
Data correspond to usage on the plateform after 2015. The current usage metrics is available 48-96 hours after online publication and is updated daily on week days.
Initial download of the metrics may take a while.