Open Access

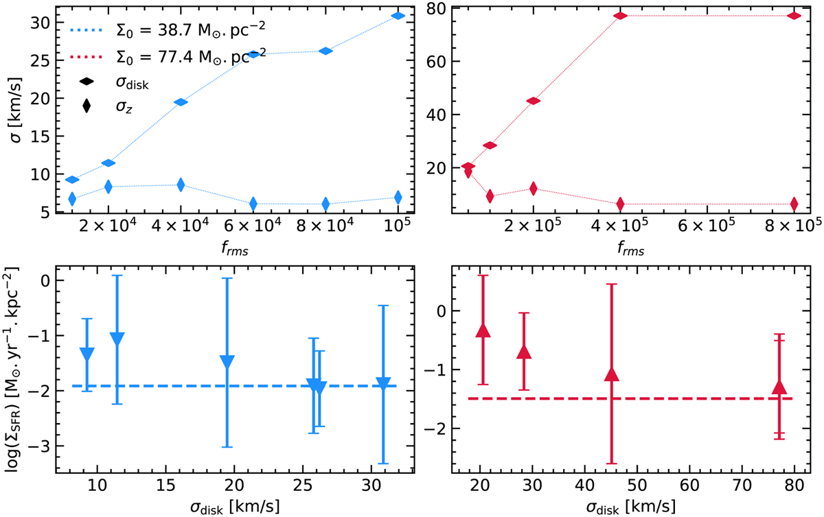
Fig. 3

image

Download original image

Relation between the strength of the driving, the velocity dispersion, and the SFR. Top panel: mass-weighted velocity dispersion measured in the STRENGTH simulations at 58 Myr at the kiloparsec scale. The velocity dispersion parallel to the disk plane σdisk is defined by . Bottom panel: SFR as a function of the velocity dispersion parallel to the disk. The dashed line is the value of the SFR given by the SK relation.

Current usage metrics show cumulative count of Article Views (full-text article views including HTML views, PDF and ePub downloads, according to the available data) and Abstracts Views on Vision4Press platform.

Data correspond to usage on the plateform after 2015. The current usage metrics is available 48-96 hours after online publication and is updated daily on week days.

Initial download of the metrics may take a while.