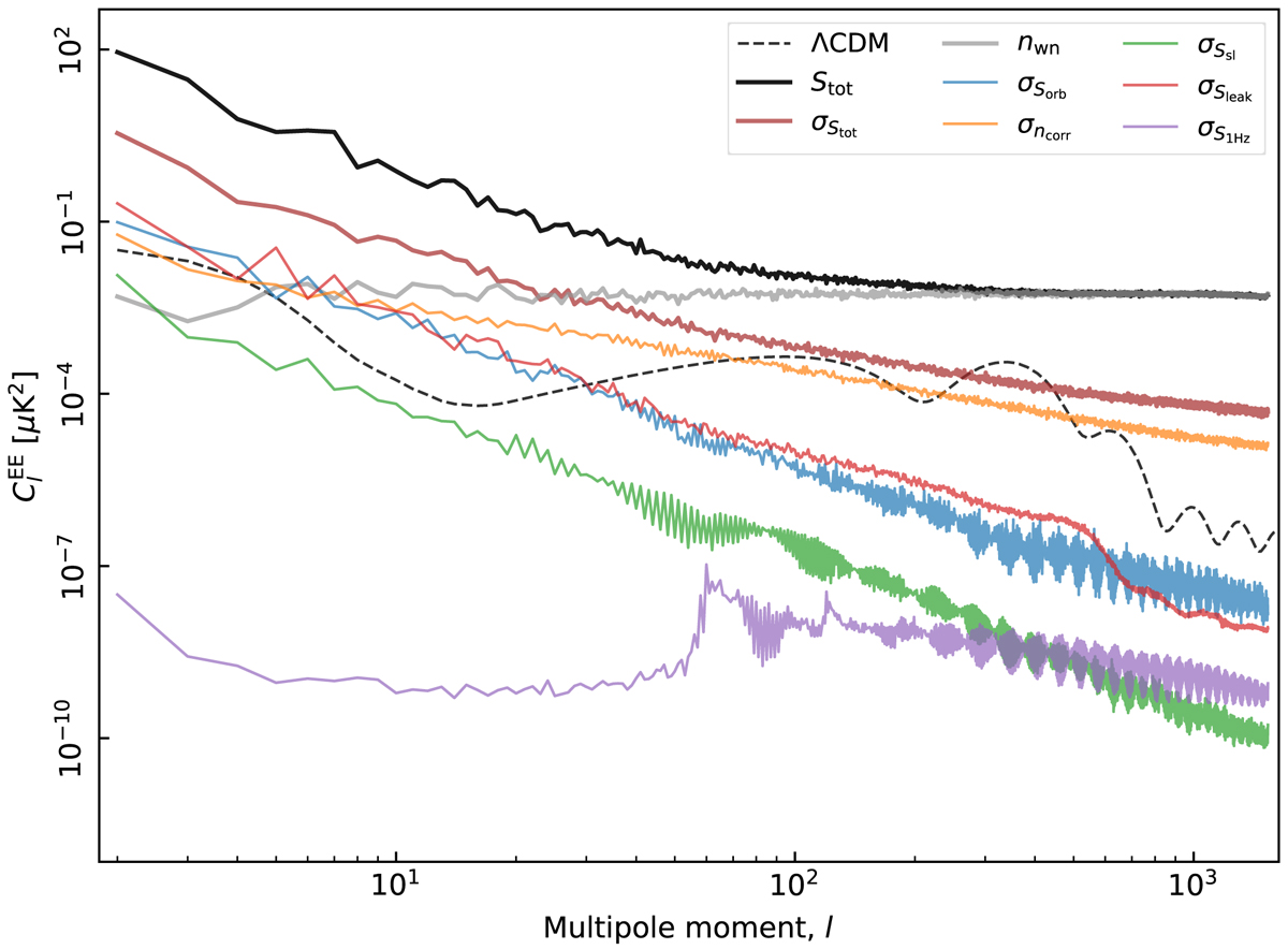
Fig. 17.

Download original image
EE pseudo-spectrum standard deviation for each instrumental systematic correction at 30 GHz shown (thin colored lines). For comparison, the thick black line shows the spectrum for the full coadded frequency map; the thick red line shows the standard deviation of the same (i.e., the full systematic uncertainty); the gray line shows white noise; and the dashed black line shows the best-fit Planck 2018 ΛCDM power spectrum convolved with the instrument beam. All spectra have been derived outside the CMB confidence mask (Andersen et al. 2023) using the HEALPix anafast utility, correcting only for sky fraction and not for mask mode coupling. Reproduced from Basyrov et al. (2023).
Current usage metrics show cumulative count of Article Views (full-text article views including HTML views, PDF and ePub downloads, according to the available data) and Abstracts Views on Vision4Press platform.
Data correspond to usage on the plateform after 2015. The current usage metrics is available 48-96 hours after online publication and is updated daily on week days.
Initial download of the metrics may take a while.