Fig. 3.

Download original image
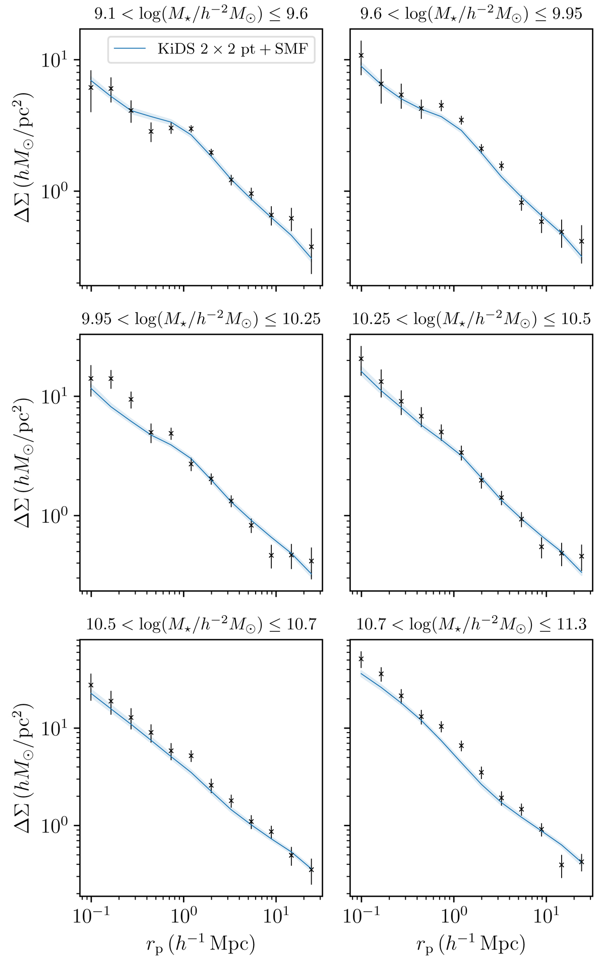
Galaxy-galaxy lensing: the stacked ESD profiles of the six stellar mass bins in the KiDS-Bright galaxy sample defined in Table 1. The solid lines represent the best fitting fiducial ESD halo model (Sect. 2.3, Eq. (34)) as obtained using an MCMC fit, with the 68 percent confidence interval indicated with a shaded region. We caution that the quality of the fit cannot be judged by eye, because of the covariance in the data between the observed bins and also between the observables. The reduced χ2 value for this observable is 1.28 (d.o.f. = 73.18, p-value = 0.05), estimated using the method presented in Appendix C.
Current usage metrics show cumulative count of Article Views (full-text article views including HTML views, PDF and ePub downloads, according to the available data) and Abstracts Views on Vision4Press platform.
Data correspond to usage on the plateform after 2015. The current usage metrics is available 48-96 hours after online publication and is updated daily on week days.
Initial download of the metrics may take a while.