Open Access
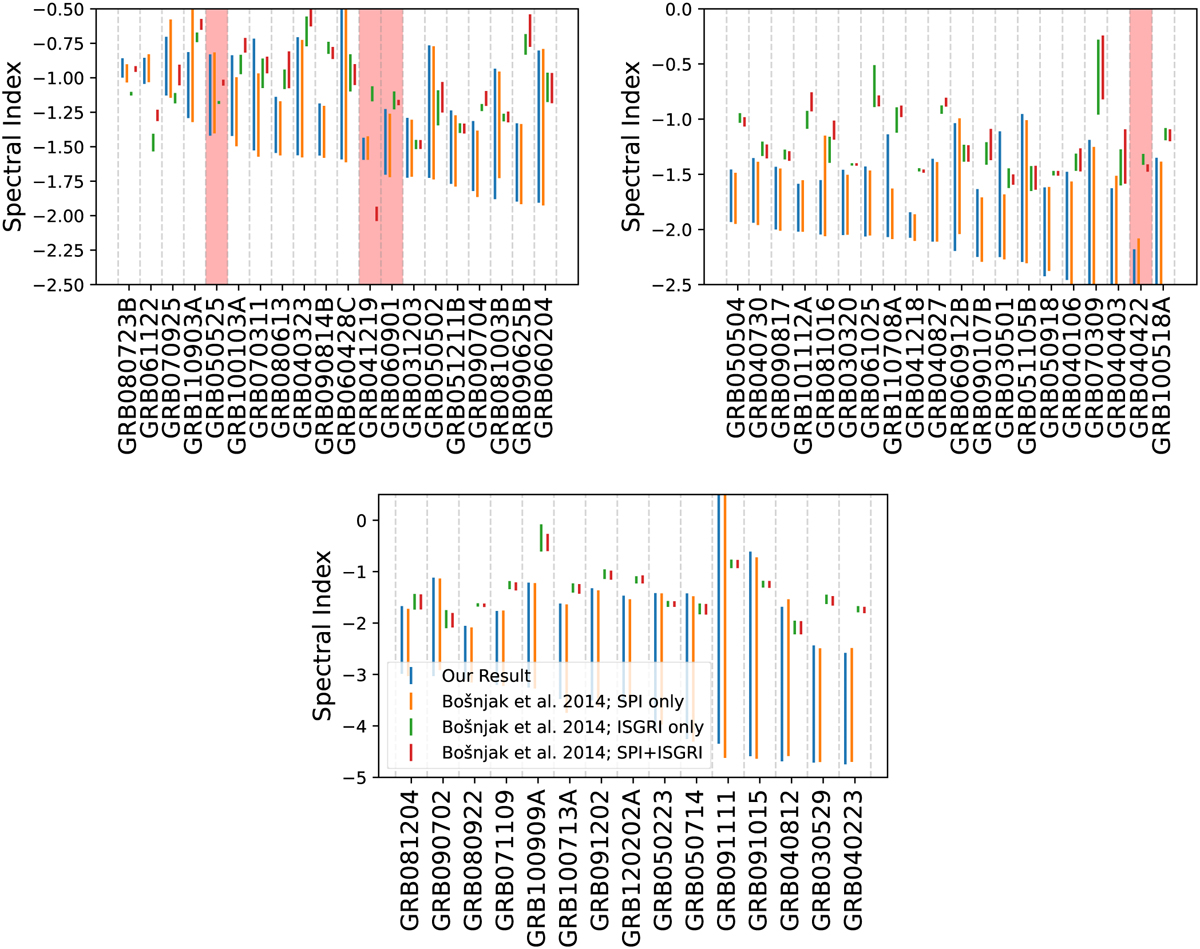
Fig. B.1

Download original image
Comparison of the low energy power law slope in Bošnjak et al. (2014) and our results for the same data selection criterion. The GRBs in these plots are sorted from hard to soft spectra. The GRBs for which the wrong ISGRI data files were provided are marked in red.
Current usage metrics show cumulative count of Article Views (full-text article views including HTML views, PDF and ePub downloads, according to the available data) and Abstracts Views on Vision4Press platform.
Data correspond to usage on the plateform after 2015. The current usage metrics is available 48-96 hours after online publication and is updated daily on week days.
Initial download of the metrics may take a while.