Open Access

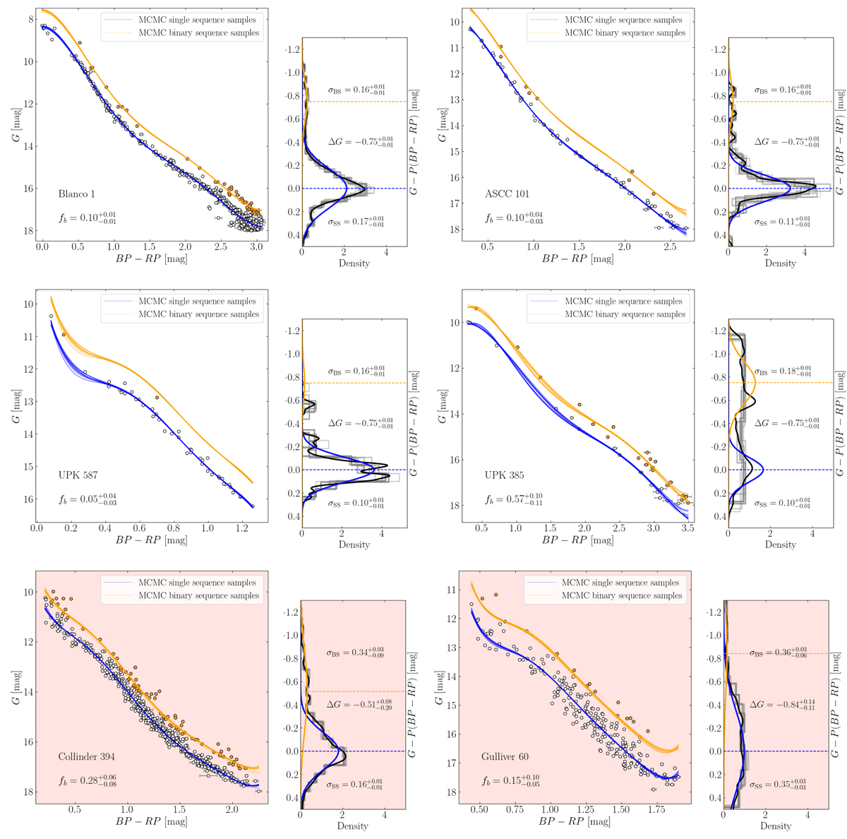
Fig. 4.

image

Download original image

Examples of the MCMC fits to the main sequences of several OCs (in the same style as Fig. 3, top-right panels), illustrating the diversity of the binary sequences and the resulting diversity in the quality of the MCMC fits. The two examples marked by a light red background are excluded from the final catalogue because they do not fulfill the conditions described in Sect. 4.

Current usage metrics show cumulative count of Article Views (full-text article views including HTML views, PDF and ePub downloads, according to the available data) and Abstracts Views on Vision4Press platform.

Data correspond to usage on the plateform after 2015. The current usage metrics is available 48-96 hours after online publication and is updated daily on week days.

Initial download of the metrics may take a while.