Open Access
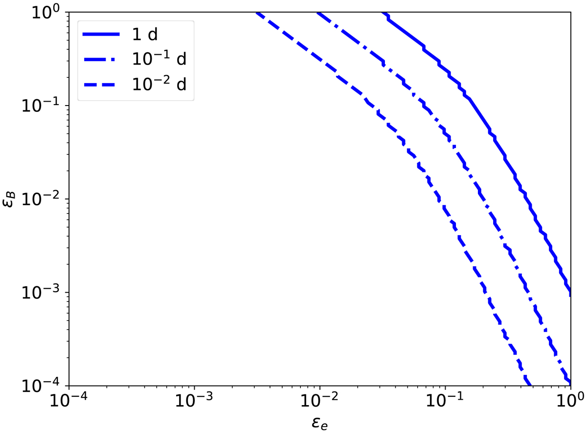
Fig. A.2.

Download original image
Lines in the [ϵe, ϵB] plane where R = νc/νm = 1. Each line was computed at different times. The region of the plane to the right of each line corresponds to the combinations of [ϵe, ϵB] that give a fast cooling regime.
Current usage metrics show cumulative count of Article Views (full-text article views including HTML views, PDF and ePub downloads, according to the available data) and Abstracts Views on Vision4Press platform.
Data correspond to usage on the plateform after 2015. The current usage metrics is available 48-96 hours after online publication and is updated daily on week days.
Initial download of the metrics may take a while.