Open Access

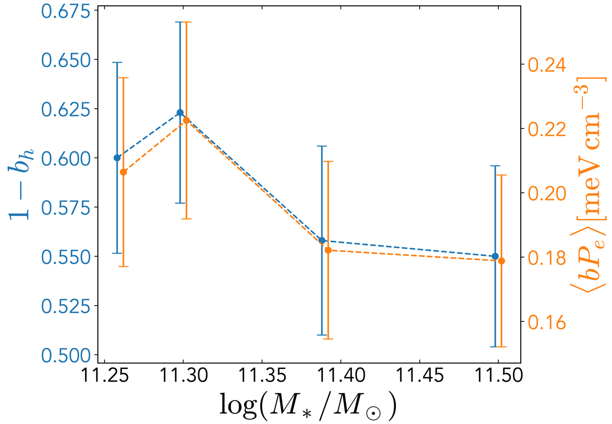
Fig. 11.

image

Download original image

Hydrostatic mass bias (blue) and halo-bias weighted thermal pressure (orange) as a function of galaxy median stellar mass. The halo-bias weighted thermal pressure is consistent with the results from Pandey et al. (2019) when compared with the similar redshift bin. The two sets of error bars are shifted along the x-axis for visualization.

Current usage metrics show cumulative count of Article Views (full-text article views including HTML views, PDF and ePub downloads, according to the available data) and Abstracts Views on Vision4Press platform.

Data correspond to usage on the plateform after 2015. The current usage metrics is available 48-96 hours after online publication and is updated daily on week days.

Initial download of the metrics may take a while.