Open Access

Fig. 5

image

Download original image

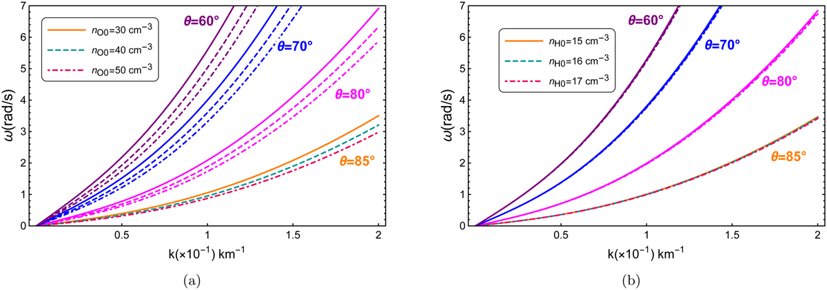
Effect of ionic densities nO0 and nH0 and propagation angle on wave-phase velocity, (a) Effect of nO0, where nO0 = 30 cm−3 (orange), nO0 = 40 cm−3 (dashed mint green), and nO0 = 50 cm−3 (dot-dashed pink), (b) Effect of nH0, where nH0 = 15 cm−3 (dashed orange), nH0 = 16 cm−3 (dashed mint green), and nH0 = 17 cm−3 (dot-dashed pink). Other plasma parameters: nsp0 = nse0 = 17 cm−3, Te = 10 eV, and B0 = 80 × 10−5 G. We test the effects of the following propagation angles: θ = 85° (multicolored curves), θ = 80° (magenta curves), θ = 70° (blue curves), and θ = 60° (purple curves).

Current usage metrics show cumulative count of Article Views (full-text article views including HTML views, PDF and ePub downloads, according to the available data) and Abstracts Views on Vision4Press platform.

Data correspond to usage on the plateform after 2015. The current usage metrics is available 48-96 hours after online publication and is updated daily on week days.

Initial download of the metrics may take a while.