Open Access

Fig. 9

image

Download original image

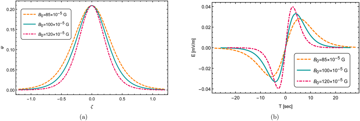
Proflies of the solitary pulse and its corresponding electric field, (a) Solitary pulse versus ζ (b) Corresponding bipolar electric field for different values of B0, where B0 = 85 × 10−5 G (dashed orange), B0 = 100 × 10−5 G (mint green), and B0 = 120 × 10−5 G (dot-dashed pink). Other plasma parameters are Te = 10 eV, lz(= cos θ) = 0.1, σse = 2 ,µ = δ = 0.32, and γ = 0.25.

Current usage metrics show cumulative count of Article Views (full-text article views including HTML views, PDF and ePub downloads, according to the available data) and Abstracts Views on Vision4Press platform.

Data correspond to usage on the plateform after 2015. The current usage metrics is available 48-96 hours after online publication and is updated daily on week days.

Initial download of the metrics may take a while.