Fig. 4.

Download original image
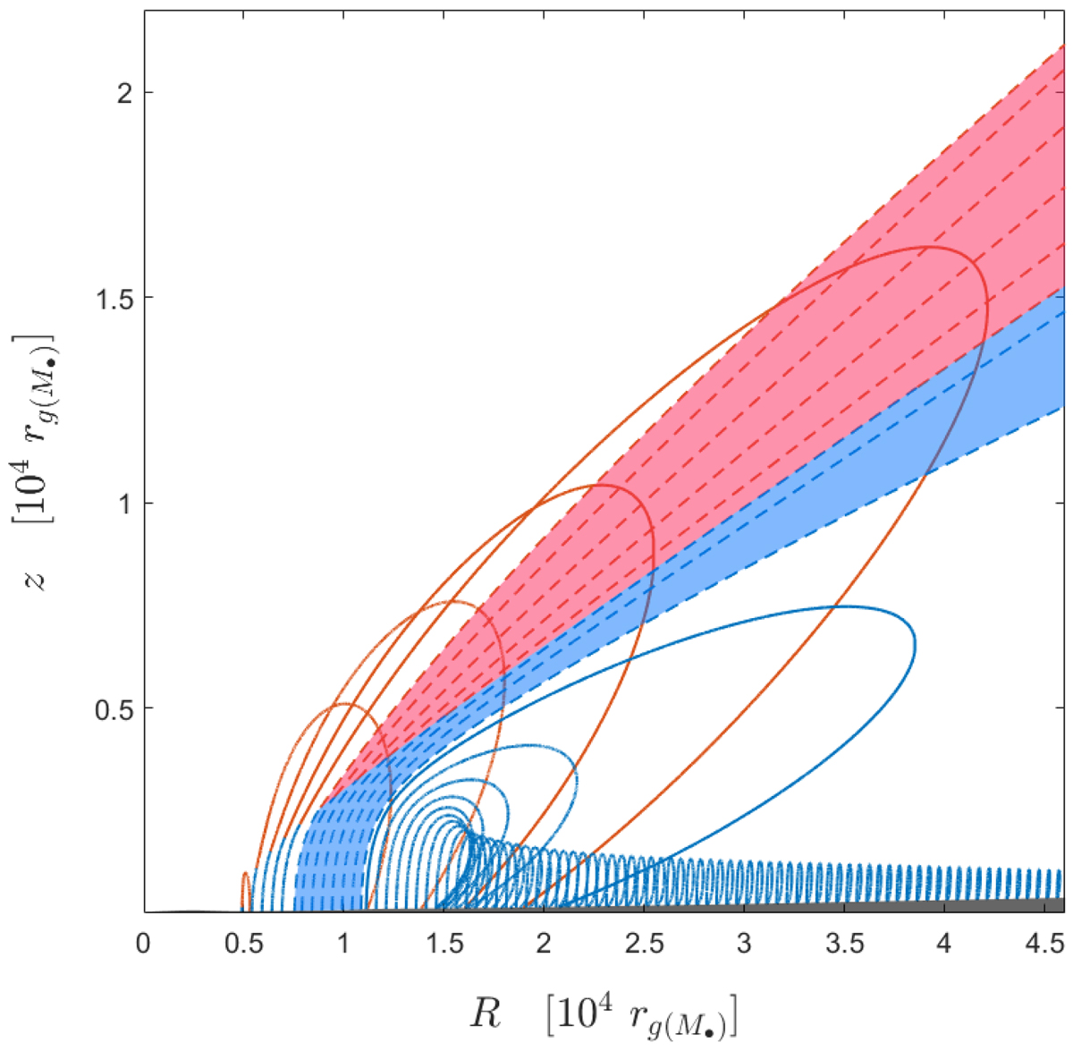
Example of the trajectories of clouds above the accretion disk for the case of log ṁ = 0, log M• = 8, and Z = 5 Z⊙. The motion is displayed in a 2D plane of (R, z) in cylindrical coordinates due to the azimuthal symmetry, where R is the radial distance to the black hole in the equatorial plane, and z is the vertical distance from the equatorial plane. The overall motion consists of a failed wind (solid curved lines) and an outflow (dashed lines) lines. Dusty and dustless situations are colour-coded in blue and red, respectively. Only a fraction of trajectories is shown for clarity.
Current usage metrics show cumulative count of Article Views (full-text article views including HTML views, PDF and ePub downloads, according to the available data) and Abstracts Views on Vision4Press platform.
Data correspond to usage on the plateform after 2015. The current usage metrics is available 48-96 hours after online publication and is updated daily on week days.
Initial download of the metrics may take a while.