Open Access

Fig. 15.

image

Download original image

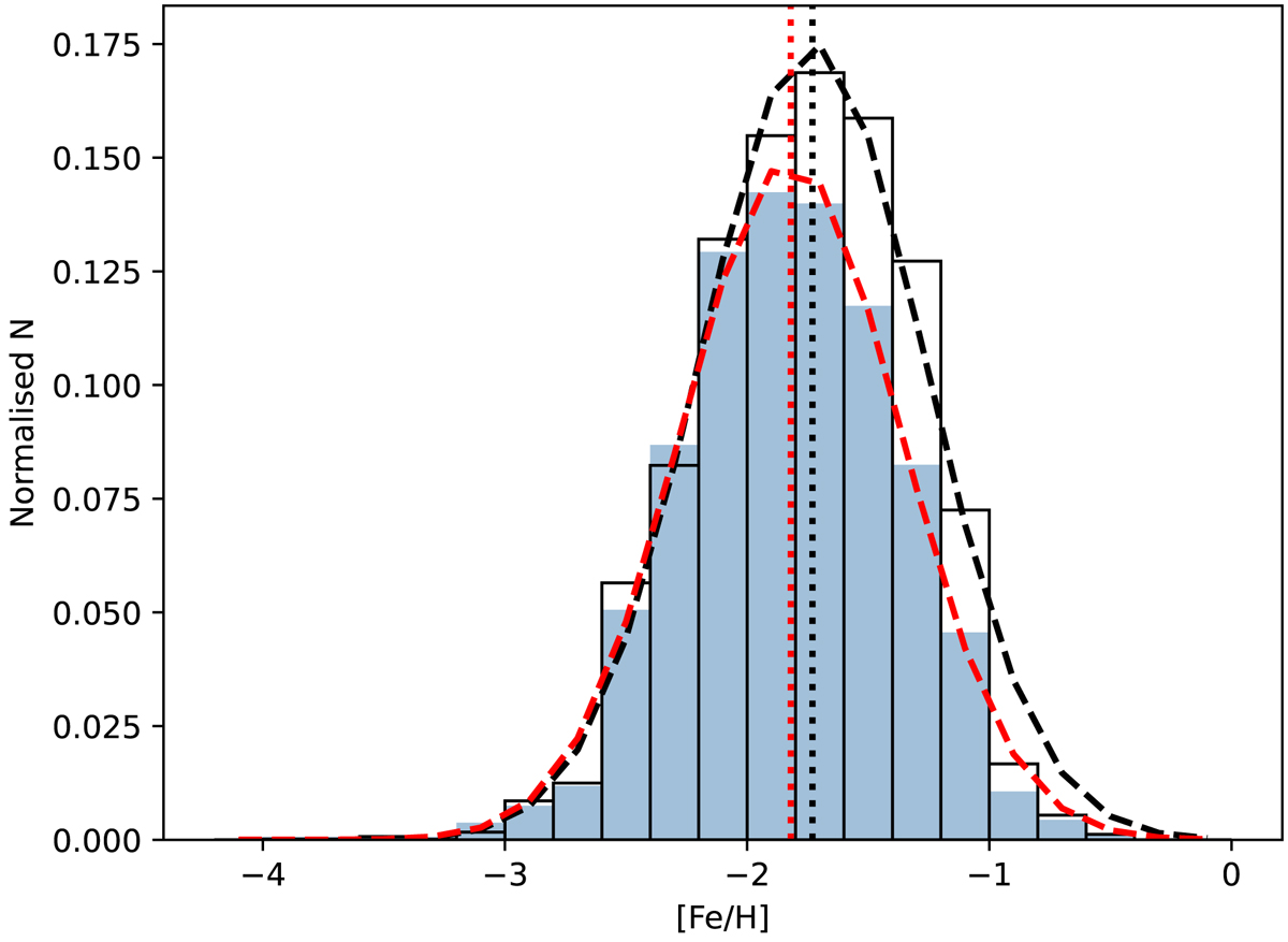
MDF for the 1339 metallicity measurements of RGB members of the Sculptor dSph (blue). The vertical dotted red line is the mean, [Fe/H]=−1.82, as determined by a Gaussian fit to the distribution (dashed red line). The black-outlined histogram is corrected for the incompleteness at different elliptical radii, as given in Fig. 14. The mean metallicity shifts by about 0.1 dex (dotted black line) to [Fe/H] = − 1.73, according to the Gaussian fit (dashed black line).

Current usage metrics show cumulative count of Article Views (full-text article views including HTML views, PDF and ePub downloads, according to the available data) and Abstracts Views on Vision4Press platform.

Data correspond to usage on the plateform after 2015. The current usage metrics is available 48-96 hours after online publication and is updated daily on week days.

Initial download of the metrics may take a while.