Open Access

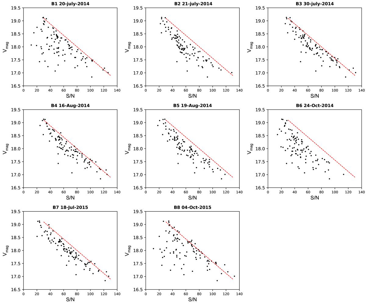
Fig. B.1.

image

Download original image

Variation in S/N for eight observations of the same field and the same targets with VLT/FLAMES LR8 grating. The dashed red line is always in the same position in each plot to guide the eye. The observations were made between July 2014 and October 2015 (from programme ID 593.D-0309)

Current usage metrics show cumulative count of Article Views (full-text article views including HTML views, PDF and ePub downloads, according to the available data) and Abstracts Views on Vision4Press platform.

Data correspond to usage on the plateform after 2015. The current usage metrics is available 48-96 hours after online publication and is updated daily on week days.

Initial download of the metrics may take a while.