Open Access

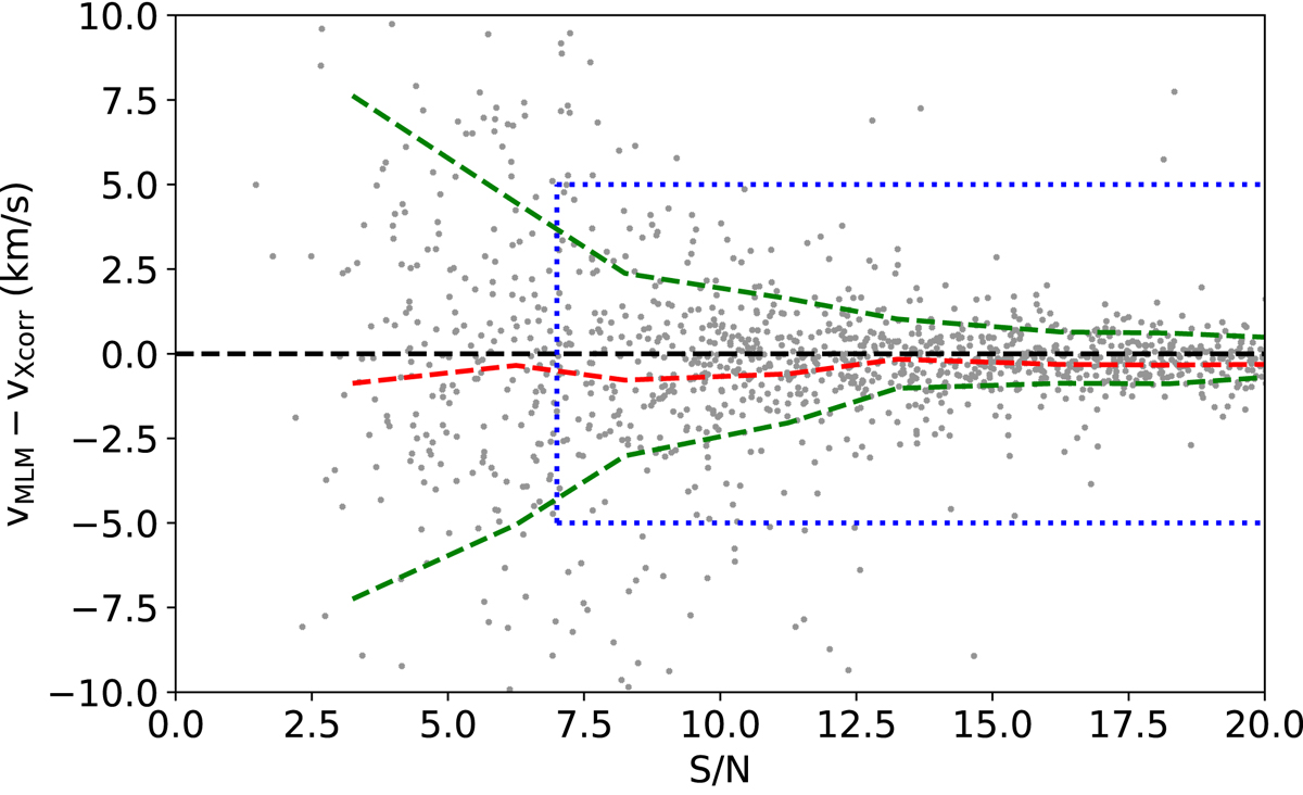
Fig. 5.

image

Download original image

Differences in vlos at S/N < 20, as measured with the maximum likelihood (vMLM) and the cross-correlation (vXcorr) methods on the same individual spectra, selected to have vlos in the range expected for Sculptor stars (70 − 150 km s−1). Dashed green lines are the mean values above and below zero (dashed black line), and the dashed red line is the mean of all velocity differences. The vertical dotted blue line shows the minimum acceptable S/N = 7, and the horizontal dotted blue lines show the limits for outliers, at ±5 km s−1.

Current usage metrics show cumulative count of Article Views (full-text article views including HTML views, PDF and ePub downloads, according to the available data) and Abstracts Views on Vision4Press platform.

Data correspond to usage on the plateform after 2015. The current usage metrics is available 48-96 hours after online publication and is updated daily on week days.

Initial download of the metrics may take a while.