Open Access
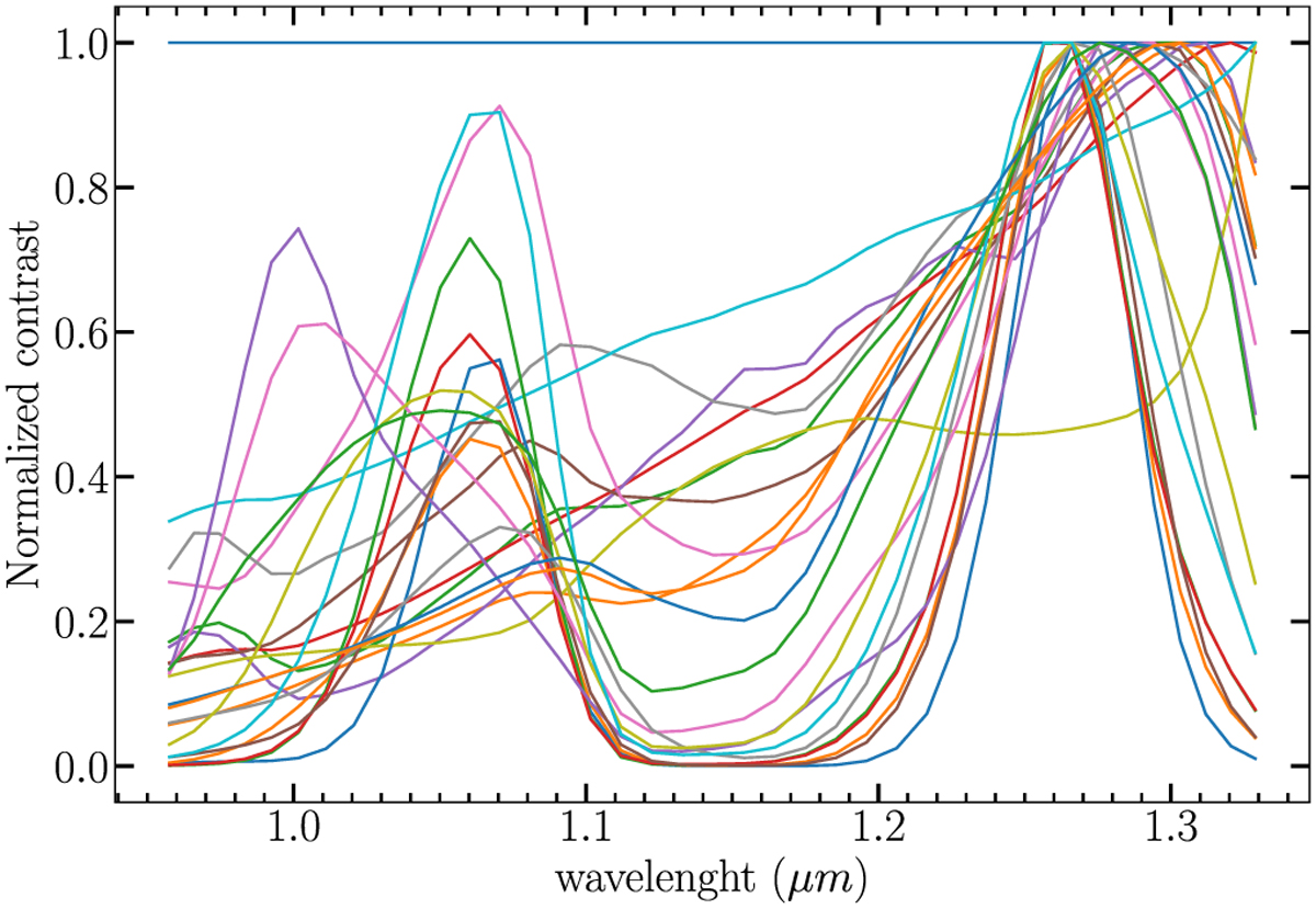
Fig. 8

Download original image
Example of the library ΩIFS ∊ ℝ20×39 of spectral priors built for a G2 star in YJ bands. Priors are expressed in contrast unit and are normalized between 0 and 1. We systematically included in the library a "flat" spectral prior giving the same weights to all spectral channels.
Current usage metrics show cumulative count of Article Views (full-text article views including HTML views, PDF and ePub downloads, according to the available data) and Abstracts Views on Vision4Press platform.
Data correspond to usage on the plateform after 2015. The current usage metrics is available 48-96 hours after online publication and is updated daily on week days.
Initial download of the metrics may take a while.