Fig. 16.

Download original image
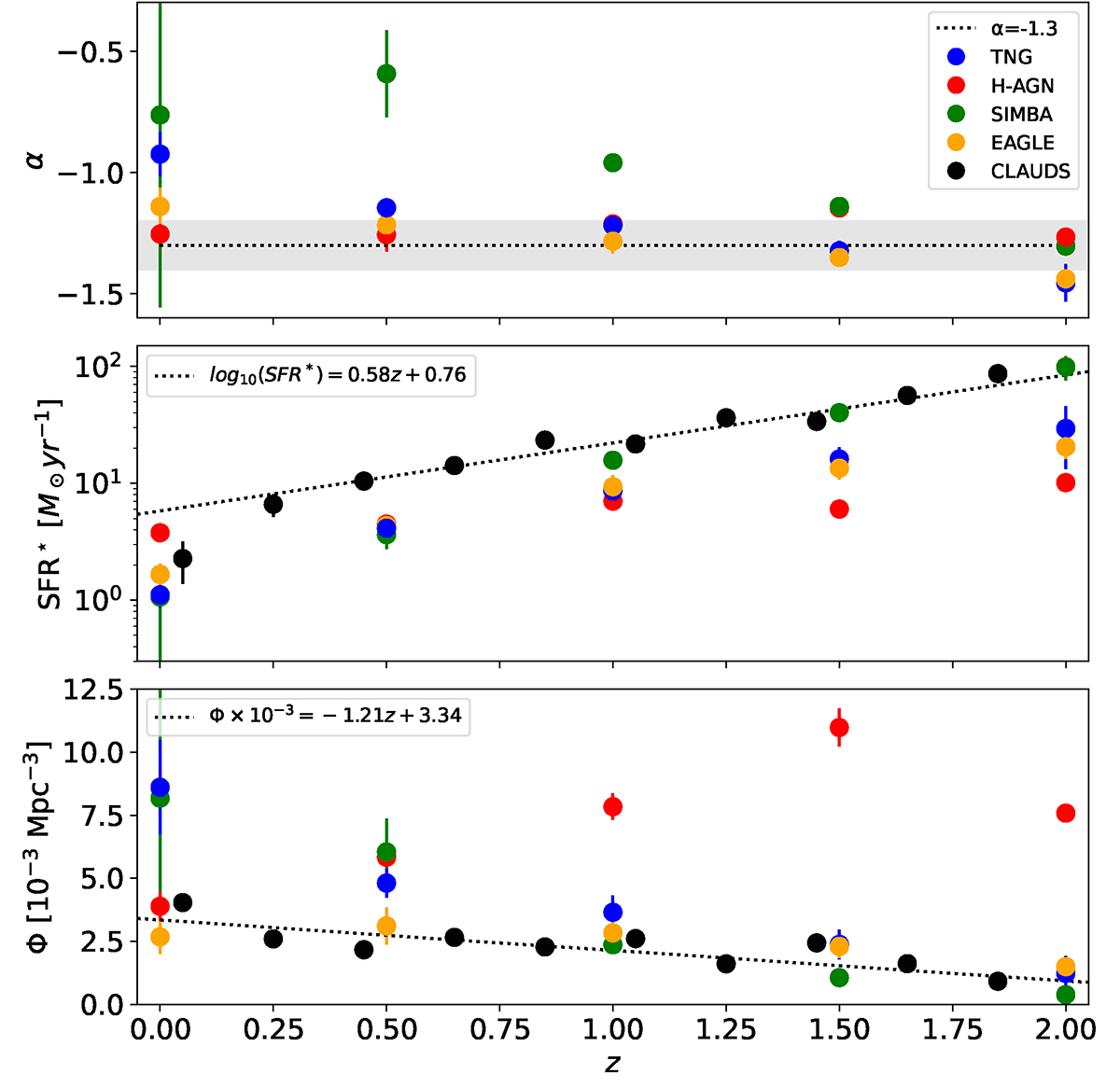
Redshift evolution of the Schechter parameters – α (top panel), SFR⋆ (middle panel), and Φ⋆ (bottom panel) – of the SFR functions for the observations (black dots) and the four hydrodynamical simulations (color dots as indicated in the top panel). The fits of the redshift evolution for each parameter from the observations are shown as dotted lines.
Current usage metrics show cumulative count of Article Views (full-text article views including HTML views, PDF and ePub downloads, according to the available data) and Abstracts Views on Vision4Press platform.
Data correspond to usage on the plateform after 2015. The current usage metrics is available 48-96 hours after online publication and is updated daily on week days.
Initial download of the metrics may take a while.