Fig. 8.

Download original image
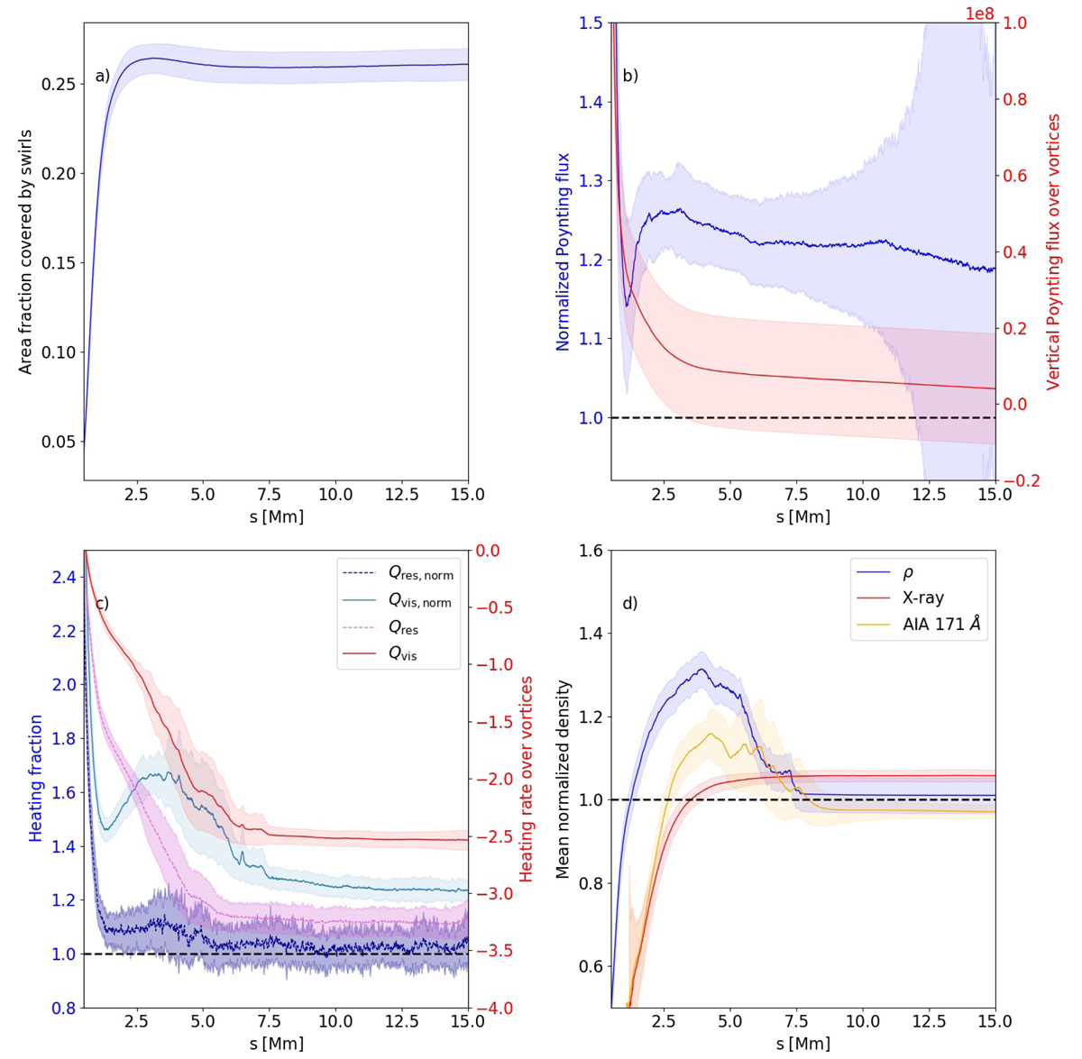
Dependence of swirl properties on the axial coordinate along the loop: (a) area fraction covered by vortices, (b) averaged Poynting flux over vortices (red) and Poynting flux over vortices normalized by the Poynting flux averaged over the loop cross section at the same distance along the loop (blue), (c) normalized viscous (green) and resistive (red) heating fraction over vortices, and (d) normalized density and emission in the X-ray and the 171 Å bands over vortices. The coordinate s refers to the distance to the approximate optical surface of the left loop footpoint along the semi-circular arclength of the loop. The shaded areas refer to the standard deviation of the depicted quantities at any given arclength along the loop due to variation in time. See Sects. 3.2 and 4.2.
Current usage metrics show cumulative count of Article Views (full-text article views including HTML views, PDF and ePub downloads, according to the available data) and Abstracts Views on Vision4Press platform.
Data correspond to usage on the plateform after 2015. The current usage metrics is available 48-96 hours after online publication and is updated daily on week days.
Initial download of the metrics may take a while.