Open Access
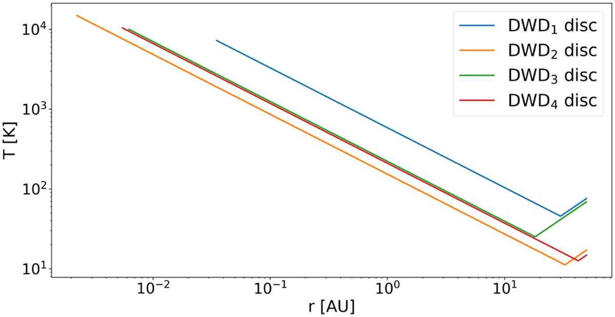
Fig. 1

Download original image
Temperature profiles of the circumbinary discs surrounding the DWD systems (see legend). The profiles are estimated at t0 = 10τc (see Table 1 for details about the systems) for a disc with rc = 50 au.
Current usage metrics show cumulative count of Article Views (full-text article views including HTML views, PDF and ePub downloads, according to the available data) and Abstracts Views on Vision4Press platform.
Data correspond to usage on the plateform after 2015. The current usage metrics is available 48-96 hours after online publication and is updated daily on week days.
Initial download of the metrics may take a while.