Fig. 2

Download original image
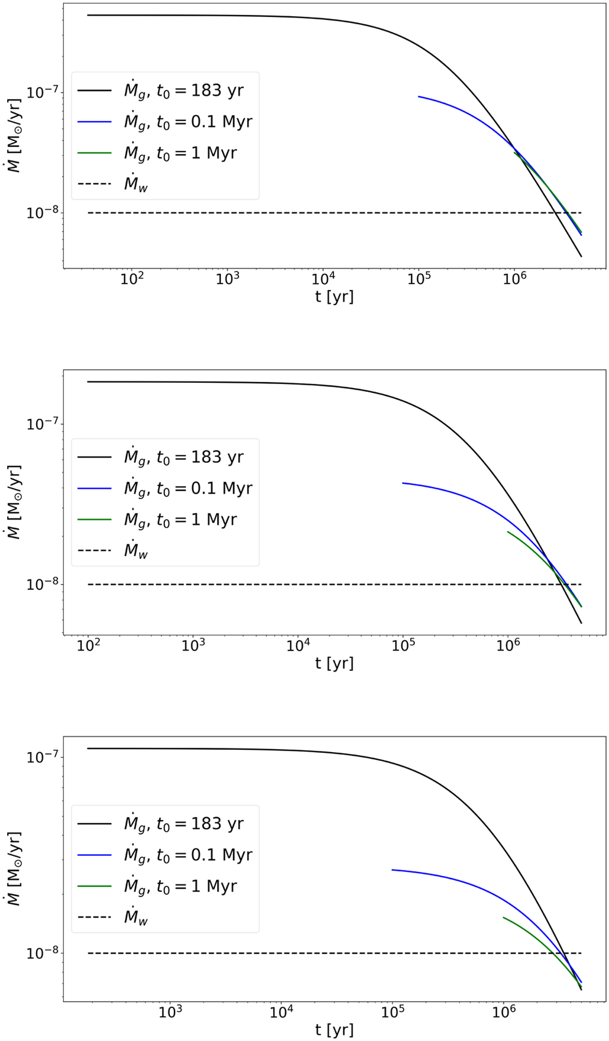
Gas accretion rates (Ṁg) and photoevaporation rate (Ṁw) of the disc surrounding the system DWD1. The accretion rates start at 10τc, 0.1 Myr, and 1 Myr after the birth of the youngest WD (see legend in each panel), which has a temperature of 75 000, 45 650, and 33 950 K, respectively. From top panel to bottom panel rc = 50, 100, 150 au, respectively.
Current usage metrics show cumulative count of Article Views (full-text article views including HTML views, PDF and ePub downloads, according to the available data) and Abstracts Views on Vision4Press platform.
Data correspond to usage on the plateform after 2015. The current usage metrics is available 48-96 hours after online publication and is updated daily on week days.
Initial download of the metrics may take a while.