Fig. 6

Download original image
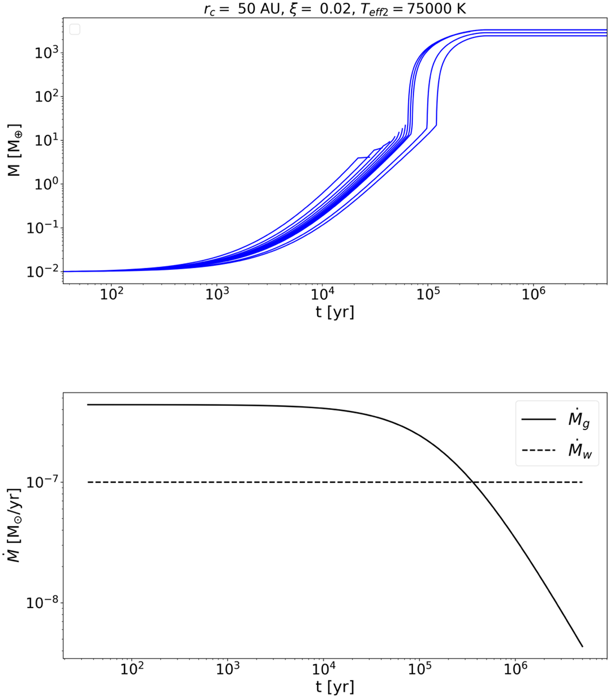
Time-dependent growth tracks starting at t0 = 10τc for the circumbinary disc of DWD1 with parameters rc = 50 au, ξ = 0.02 (top panel), considering a constant photoevaporation rate of Ṁw = 10−7 M⊙ yr−1. The accretion rate and photoevaporation rate are shown in the bottom panel. In this case ΔṀgw (see Sect. 2.4.2) is smaller than in the top panel of Fig. 2. The masses of the GGs are shown in the top panel, which are lower than those indicated in Sect. 3.1.5.
Current usage metrics show cumulative count of Article Views (full-text article views including HTML views, PDF and ePub downloads, according to the available data) and Abstracts Views on Vision4Press platform.
Data correspond to usage on the plateform after 2015. The current usage metrics is available 48-96 hours after online publication and is updated daily on week days.
Initial download of the metrics may take a while.