Open Access
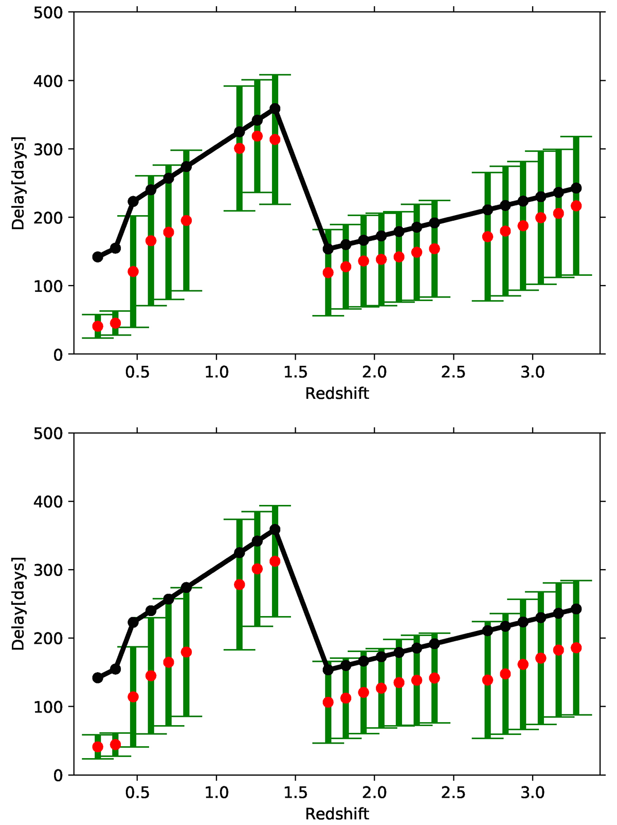
Fig. 10.

Download original image
Sensitivity of the simulations to the assumed parameter for the ten years of DDF data, bright quasars log L3000 = 45.7, in erg s−1, assuming a different radius-luminosity relation for each of the emission lines. Top panel: symmetric Gaussian response. Lower panel: half-Gaussian asymmetric response for the BLR.
Current usage metrics show cumulative count of Article Views (full-text article views including HTML views, PDF and ePub downloads, according to the available data) and Abstracts Views on Vision4Press platform.
Data correspond to usage on the plateform after 2015. The current usage metrics is available 48-96 hours after online publication and is updated daily on week days.
Initial download of the metrics may take a while.