Fig. 1.

Download original image
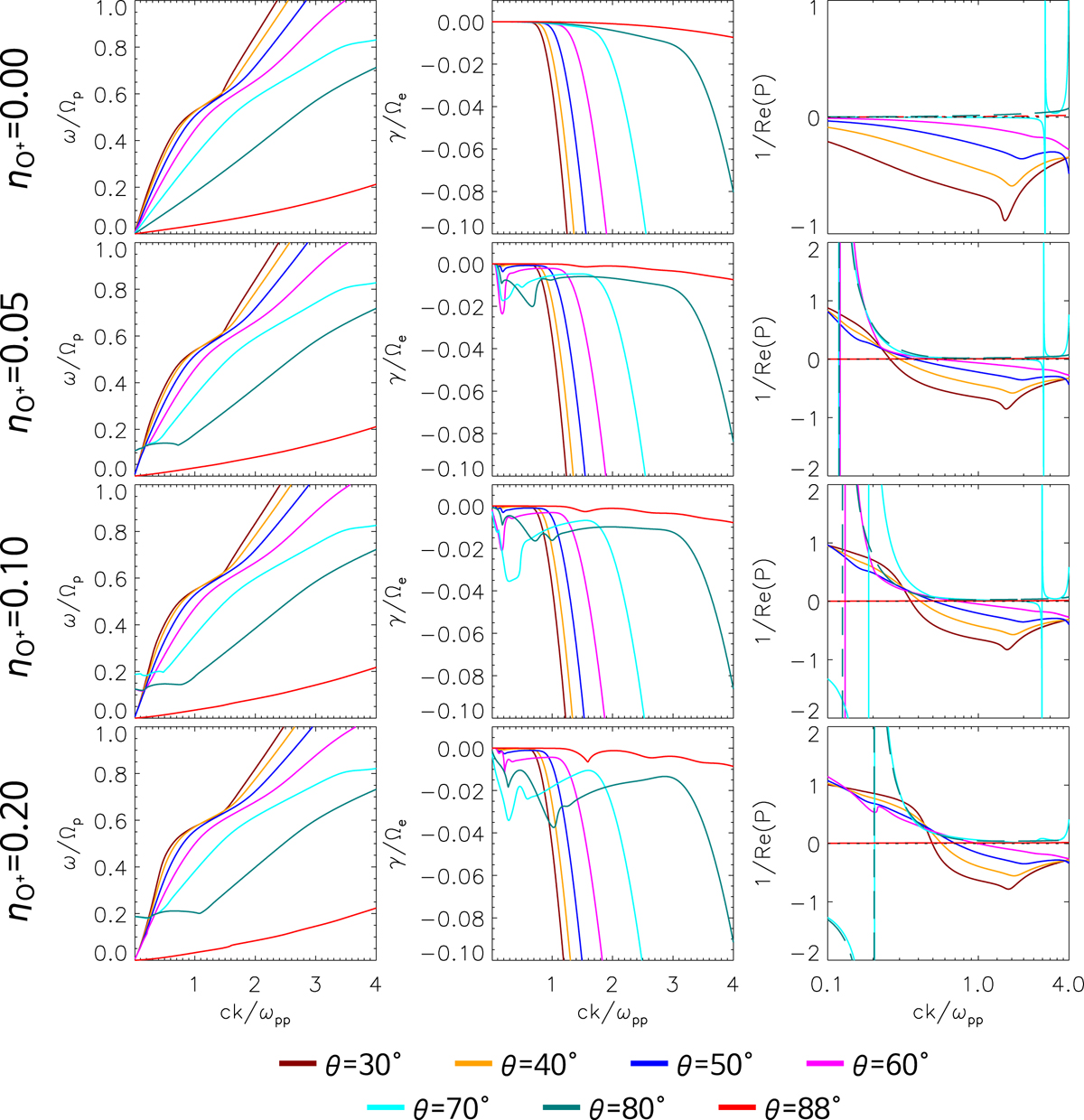
Real part (first column), imaginary part (second column) of the frequency, and inverse real part of the polarization (third column) as a function of the wavenumber for Aflvénic waves propagating at 30°, 40°, 50°, 60°, 70°, 80°, and 88v with respect to the background magnetic field, for oxygen ion concentrations of ηO+ = 0.00 (first row), ηO+ = 0.05 (second row), ηO+ = 0.10 (third row), and ηO+ = 0.20 (fourth row). For all curves, the plasma beta parameter is βe = 0.1.
Current usage metrics show cumulative count of Article Views (full-text article views including HTML views, PDF and ePub downloads, according to the available data) and Abstracts Views on Vision4Press platform.
Data correspond to usage on the plateform after 2015. The current usage metrics is available 48-96 hours after online publication and is updated daily on week days.
Initial download of the metrics may take a while.