Open Access

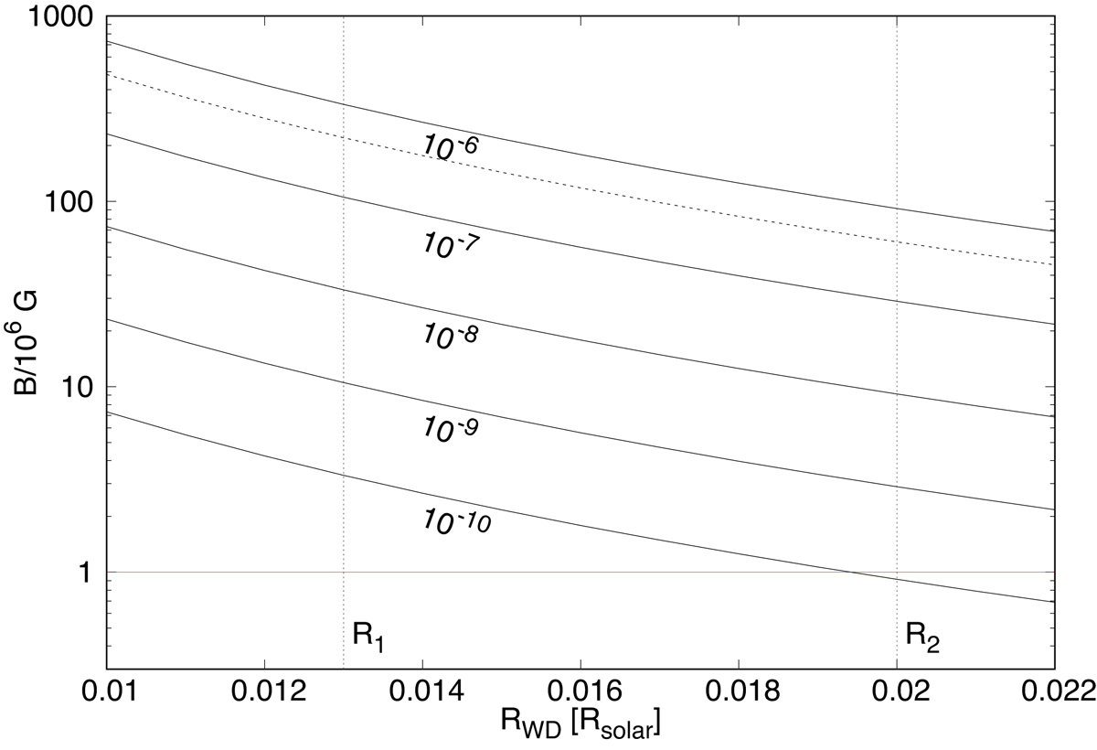
Fig. 10.

image

Download original image

WD magnetic field calculated using Eq. (4) for different values of the mass-accretion rate. The solid lines trace the solution with the magnetospheric radius of 0.76 R, and mass-accretion rates from 10−6 to 10−10 M yr−1 (marked as labels). The dashed line represents the solution with a magnetospheric radius of 0.6 R and a mass-accretion rate of 10−6 M yr−1. The horizontal red line is traced at the magnetic field of B = 106 G. The vertical dotted lines represent two WD radii: R1 = 0.013 R and R2 = 0.02 R (see text for details).

Current usage metrics show cumulative count of Article Views (full-text article views including HTML views, PDF and ePub downloads, according to the available data) and Abstracts Views on Vision4Press platform.

Data correspond to usage on the plateform after 2015. The current usage metrics is available 48-96 hours after online publication and is updated daily on week days.

Initial download of the metrics may take a while.