Open Access

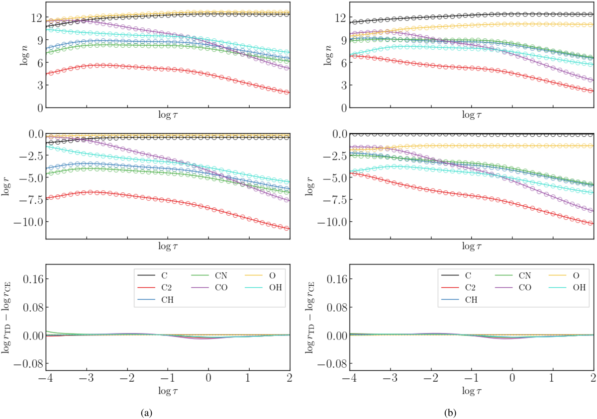
Fig. 6

image

Download original image

Mixing ratios and deviations from chemical equilibrium at [Fe/H] = −3.0 and a carbon enhancement of +2.0 dex for two atmospheres with different C/O ratios. In the first and second panels, solid lines show the time-dependent quantities, and the hollow points show the equilibrium quantities. Left: model AC1, C/O = −0.26. Right: model AC2, C/O = +1.33.

Current usage metrics show cumulative count of Article Views (full-text article views including HTML views, PDF and ePub downloads, according to the available data) and Abstracts Views on Vision4Press platform.

Data correspond to usage on the plateform after 2015. The current usage metrics is available 48-96 hours after online publication and is updated daily on week days.

Initial download of the metrics may take a while.