Open Access

Fig. 9

image

Download original image

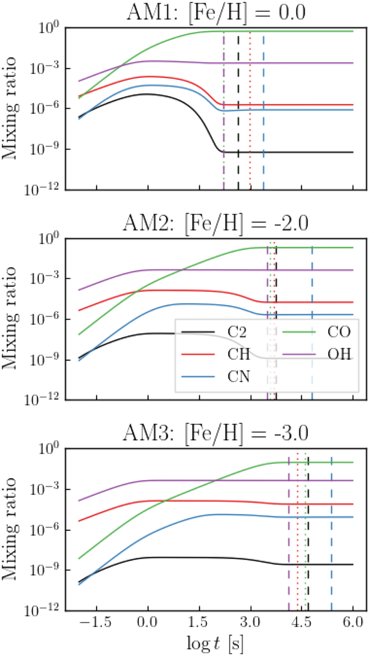
Chemical evolution for three models at differing metallicities at T = 3500 K, ρ = 10−9 g cm−3 (corresponding to the wake of a shock). The vertical dash-dotted lines show the time a species has to set into equilibrium. A reduction in metallicity leads to a corresponding reduction in time to equilibrium and overall yield.

Current usage metrics show cumulative count of Article Views (full-text article views including HTML views, PDF and ePub downloads, according to the available data) and Abstracts Views on Vision4Press platform.

Data correspond to usage on the plateform after 2015. The current usage metrics is available 48-96 hours after online publication and is updated daily on week days.

Initial download of the metrics may take a while.