Open Access
Fig. 5.

Download original image
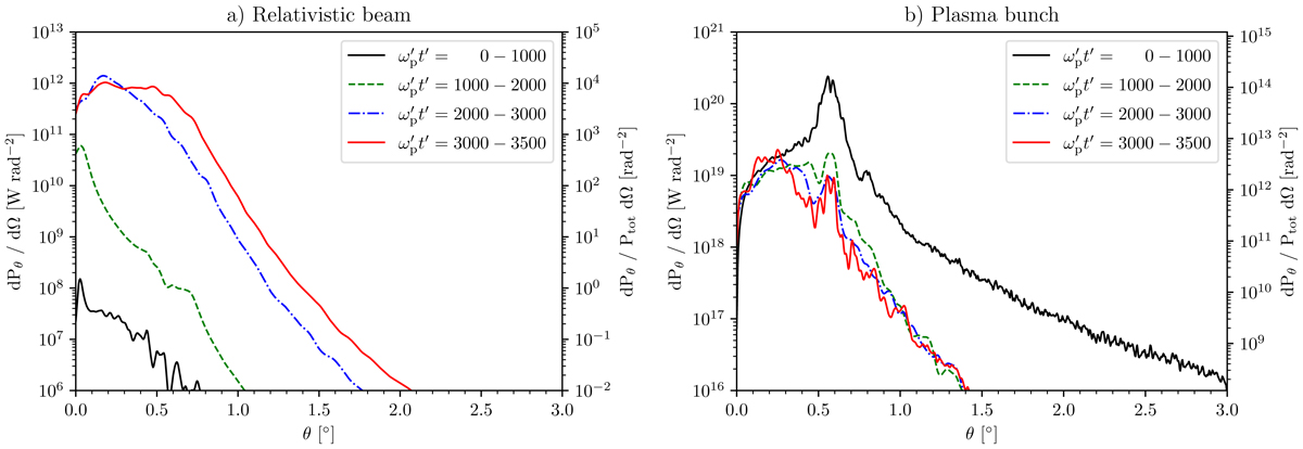
Average power per spatial angle unit as a function of polar angle in the pulsar frame during selected time intervals. The emission power (see Figs. 4c,d) is integrated over all spatial angles in the pulsar reference frame.
Current usage metrics show cumulative count of Article Views (full-text article views including HTML views, PDF and ePub downloads, according to the available data) and Abstracts Views on Vision4Press platform.
Data correspond to usage on the plateform after 2015. The current usage metrics is available 48-96 hours after online publication and is updated daily on week days.
Initial download of the metrics may take a while.