Open Access
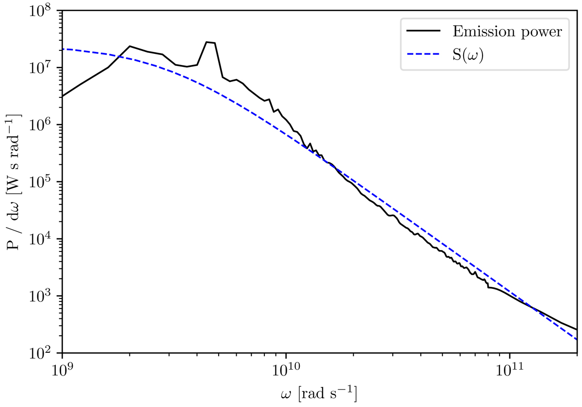
Fig. 8.

Download original image
Fit of the average power per frequency unit as a function of the frequency during the whole simulation time of the interacting plasma bunches (γs = 100). The fit is given by Eq. (4). For the fit parameters, we refer to the text.
Current usage metrics show cumulative count of Article Views (full-text article views including HTML views, PDF and ePub downloads, according to the available data) and Abstracts Views on Vision4Press platform.
Data correspond to usage on the plateform after 2015. The current usage metrics is available 48-96 hours after online publication and is updated daily on week days.
Initial download of the metrics may take a while.