Fig. 1.

Download original image
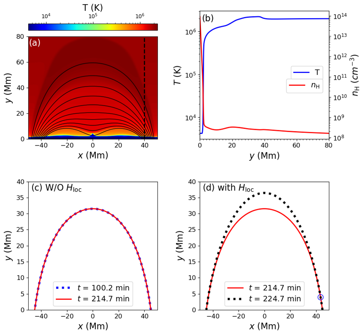
Initial condition and magnetic stretching. (a) Temperature distribution and magnetic configuration after relaxation. (b) Temperature and number density distributions along x = 40 Mm, as indicated by the dashed line in panel a. (c) Selected magnetic field line at t = 100.2 min and after relaxation. (d) Selected magnetic field line before and after we impose the localized heating.
Current usage metrics show cumulative count of Article Views (full-text article views including HTML views, PDF and ePub downloads, according to the available data) and Abstracts Views on Vision4Press platform.
Data correspond to usage on the plateform after 2015. The current usage metrics is available 48-96 hours after online publication and is updated daily on week days.
Initial download of the metrics may take a while.