Fig. 3.

Download original image
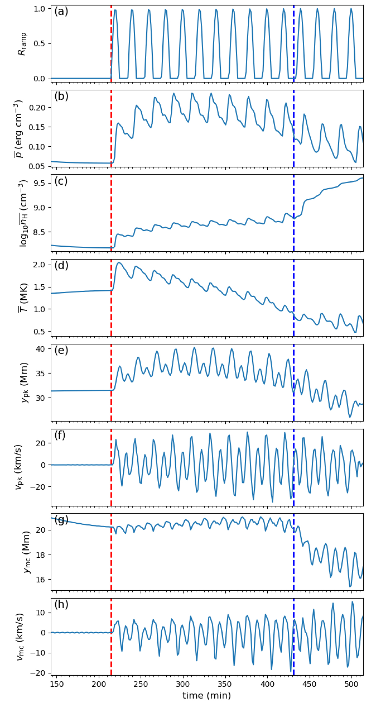
Time evolution of (a) Rramp, (b) average pressure, (c) average number density, (d) average temperature in the rectangle domain shown in Fig. 2a. (e) and (f) Time evolution of the y-position and vertical velocity of the apex of the selected magnetic field line. (g) and (h) Time evolution of the y-position and vertical velocity of the mass center of the selected rectangle domain. Dashed lines show the starting time of localized heating (red) and starting time of condensation (blue).
Current usage metrics show cumulative count of Article Views (full-text article views including HTML views, PDF and ePub downloads, according to the available data) and Abstracts Views on Vision4Press platform.
Data correspond to usage on the plateform after 2015. The current usage metrics is available 48-96 hours after online publication and is updated daily on week days.
Initial download of the metrics may take a while.