Highlight
Open Access

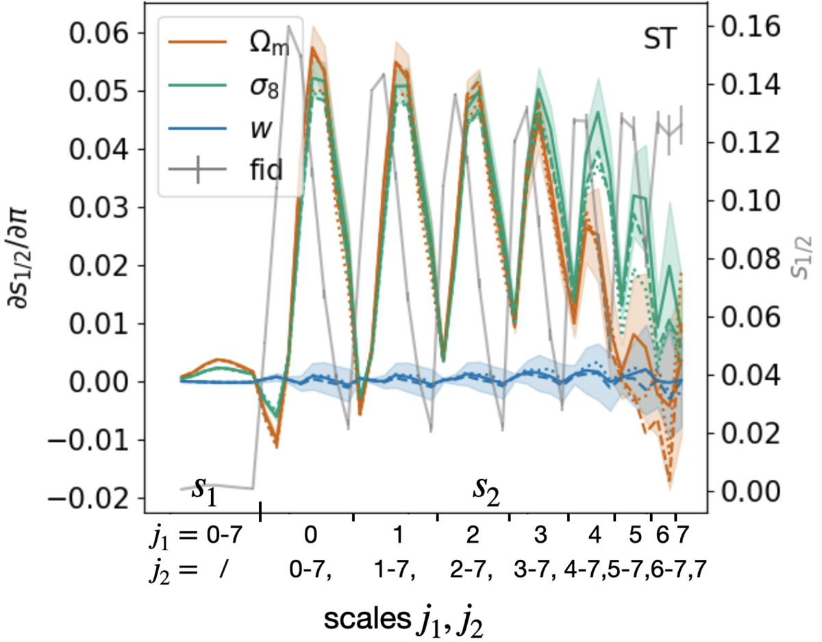
Fig. 14.

image

Download original image

Fiducial data vector (gray) along with its derivatives with respect to Ωm (red), σ8 (green), and w (blue) for ST computed on κ maps smoothed with a Gaussian filter with a scale of 234. The first 8 points correspond to the first-order scattering coefficients, followed by 8 series of second-order scattering coefficients, one per scale number j1 and spanning all j2 values for each.

Current usage metrics show cumulative count of Article Views (full-text article views including HTML views, PDF and ePub downloads, according to the available data) and Abstracts Views on Vision4Press platform.

Data correspond to usage on the plateform after 2015. The current usage metrics is available 48-96 hours after online publication and is updated daily on week days.

Initial download of the metrics may take a while.