Open Access
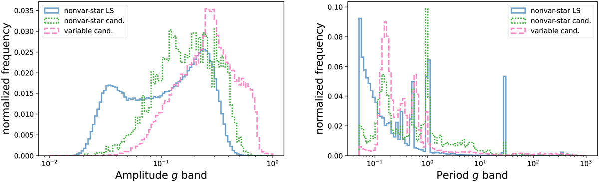
Fig. 20

Download original image
Variability properties of variable star candidates from Chen et al. (2020), classified as Variable (pink) and non-variable (green) by our model. The left panel shows the Ampi itude distribution, and the right panel the Period distribution. Sources from the LS classified as nonvar-star are included for reference (blue).
Current usage metrics show cumulative count of Article Views (full-text article views including HTML views, PDF and ePub downloads, according to the available data) and Abstracts Views on Vision4Press platform.
Data correspond to usage on the plateform after 2015. The current usage metrics is available 48-96 hours after online publication and is updated daily on week days.
Initial download of the metrics may take a while.