Fig. 1.

Download original image
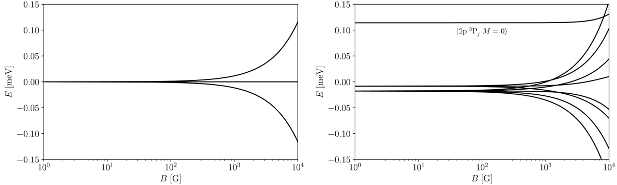
Energy of the magnetic sublevels of the lower (left panel) and upper (right panel) terms of the 10 830 Å multiplet as a function of the magnetic field strength. The natural widths of the upper-term levels is about 10−5 meV, which is well below the plotting resolution. The zero energy offsets in each panel correspond to the mean energies of the respective terms.
Current usage metrics show cumulative count of Article Views (full-text article views including HTML views, PDF and ePub downloads, according to the available data) and Abstracts Views on Vision4Press platform.
Data correspond to usage on the plateform after 2015. The current usage metrics is available 48-96 hours after online publication and is updated daily on week days.
Initial download of the metrics may take a while.