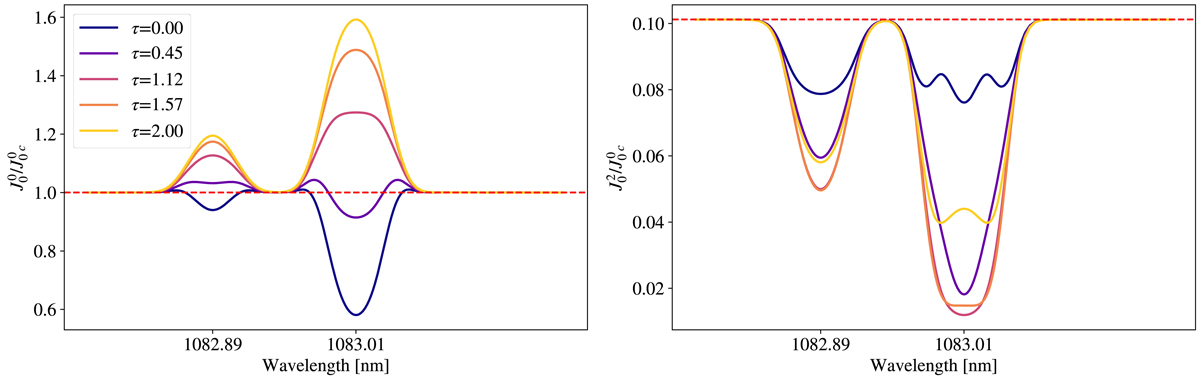
Fig. 2.

Download original image
Mean intensity (; left panel) and anisotropy (
; right panel) normalized to the incident continuum mean intensity (
) at different optical depths, τ, measured from the top boundary at the 10 830 multiplet red component’s center. Color coded we have different optical depth layers of the fully consistent NLTE solution. The red dashed line corresponds to the incident radiation field (Iinc in Eq. (2)).
Current usage metrics show cumulative count of Article Views (full-text article views including HTML views, PDF and ePub downloads, according to the available data) and Abstracts Views on Vision4Press platform.
Data correspond to usage on the plateform after 2015. The current usage metrics is available 48-96 hours after online publication and is updated daily on week days.
Initial download of the metrics may take a while.