Open Access
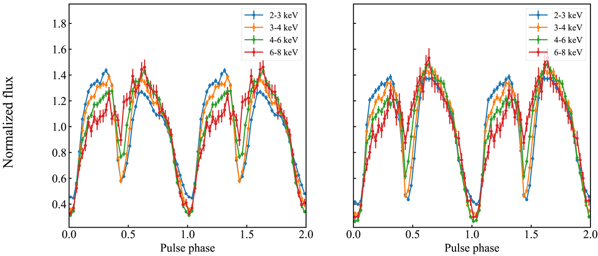
Fig. 2.

Download original image
Pulse profile of GRO J1008–57 in different energy bands as seen by IXPE in the bright (left) and low (right) states. Data from the three telescopes were combined. The zero phase was chosen to coincide for both observations using cross-correlation of the profiles.
Current usage metrics show cumulative count of Article Views (full-text article views including HTML views, PDF and ePub downloads, according to the available data) and Abstracts Views on Vision4Press platform.
Data correspond to usage on the plateform after 2015. The current usage metrics is available 48-96 hours after online publication and is updated daily on week days.
Initial download of the metrics may take a while.