Fig. 11

Download original image
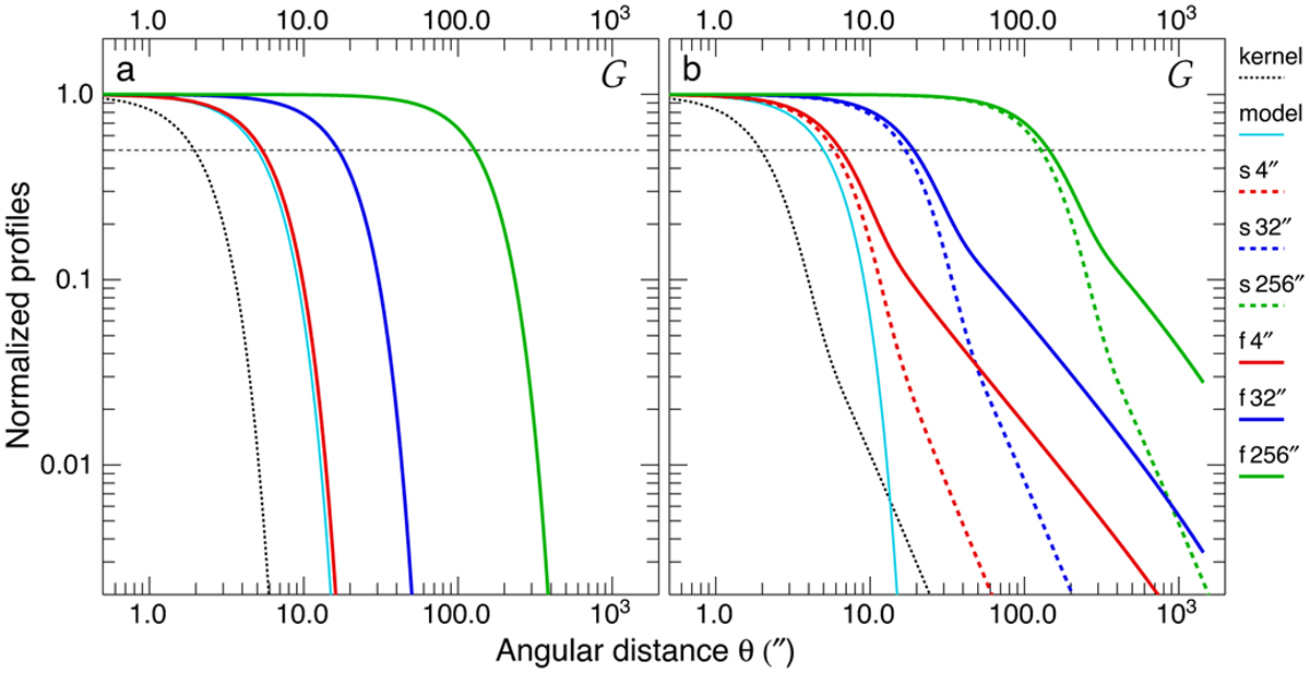
Convolution of the Gaussian models. The spherical (dashed curves) and cylindrical (solid curves) models 𝒢 (Fig. 1) were convolved with two types of kernels (thin dotted curves) of the half maximum sizes of {4, 32, 256}″. Shown are the results for the pure Gaussian kernels Oj (left) and power-law kernels 𝒦 j(right). The dashed horizontal lines indicate the half maximum level.
Current usage metrics show cumulative count of Article Views (full-text article views including HTML views, PDF and ePub downloads, according to the available data) and Abstracts Views on Vision4Press platform.
Data correspond to usage on the plateform after 2015. The current usage metrics is available 48-96 hours after online publication and is updated daily on week days.
Initial download of the metrics may take a while.