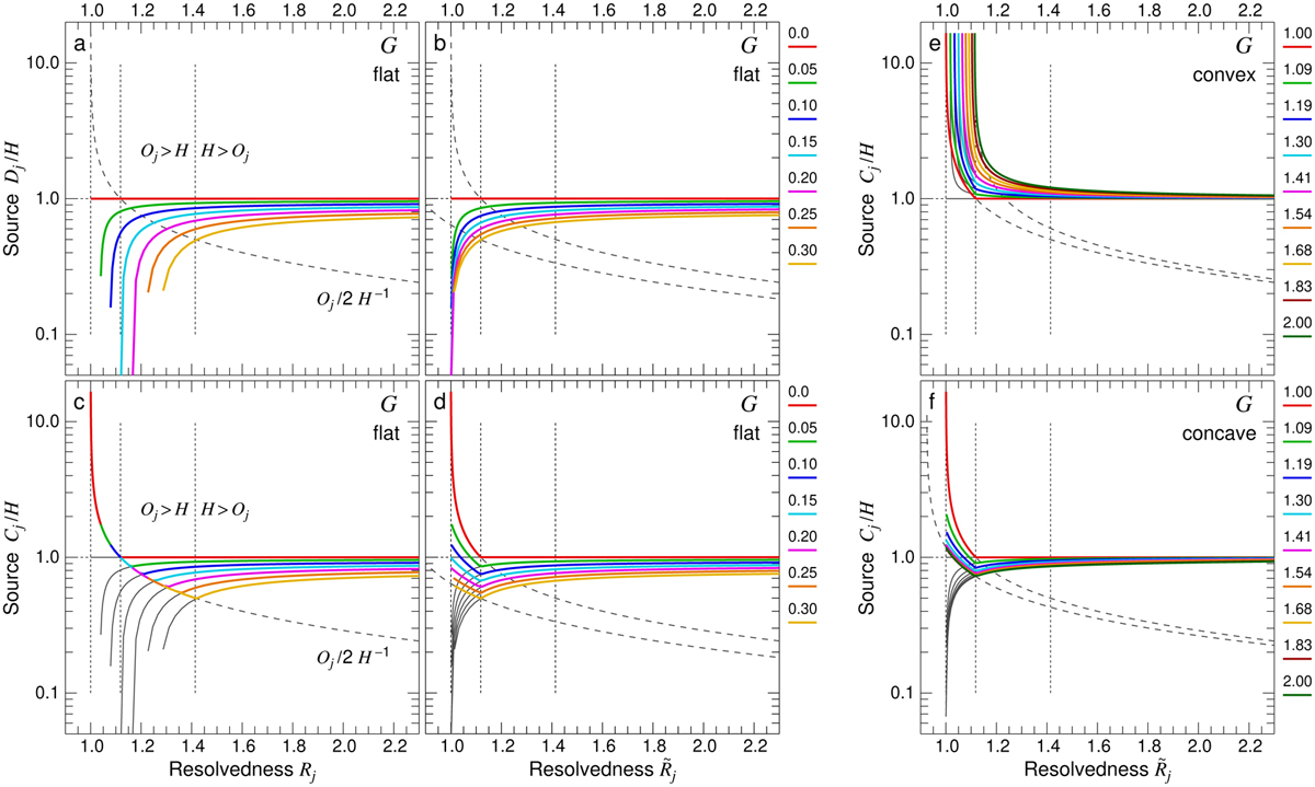
Fig. 5

Download original image
Deconvolution accuracy of the half maximum sizes for the Gaussian sources
(Eq. (8)), separated from the flat background ℬ, for background over-subtraction levels 0 ≤ ϵl ≤ 0.3 (left) and from the convex and concave backgrounds ℬ𝒢jk±, for background size factors 1 ≤ ƒk ≤ 2 (right). The ratios of the deconvolved sizes Dj and Cj to the true model size H (Table 1) are plotted as functions of the model and source resolvedness Rj and
. For reference, the thin black curves display Dj/H from panels a and b and the dashed curves visualize (Oj/2)/H for ϵl = {0,0.3}. The dashed vertical lines divide the horizontal axis into the unresolved, partially resolved, and resolved domains (Eq. (11)). All curves for ϵl > 0 in panels b and d are shifted to the left in comparison with panels a and c, because the resolvedness is underestimated (
). Corresponding plots for the deconvolved moment sizes
are presented in Fig. A.1.
Current usage metrics show cumulative count of Article Views (full-text article views including HTML views, PDF and ePub downloads, according to the available data) and Abstracts Views on Vision4Press platform.
Data correspond to usage on the plateform after 2015. The current usage metrics is available 48-96 hours after online publication and is updated daily on week days.
Initial download of the metrics may take a while.