Open Access

Fig. 9

image

Download original image

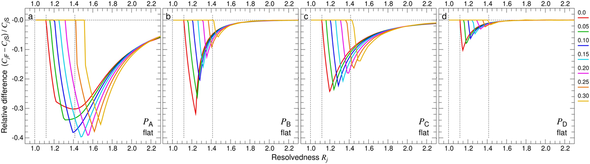
Comparison of the deconvolved half-maximum sizes for the power-law filaments and sources (with identical profiles) separated from the flat background ℬ with the over-subtraction levels 0 ≤ ϵl ≤ 0.3 (Figs. 6 and 7). The relative differences between the deconvolved half maximum sizes CjF for the filaments and CjS for the sources are plotted as a function of the model resolvedness Rj. For the convex and concave backgrounds, results are qualitatively similar.

Current usage metrics show cumulative count of Article Views (full-text article views including HTML views, PDF and ePub downloads, according to the available data) and Abstracts Views on Vision4Press platform.

Data correspond to usage on the plateform after 2015. The current usage metrics is available 48-96 hours after online publication and is updated daily on week days.

Initial download of the metrics may take a while.